М
Молодежь
К
Компьютеры-и-электроника
Д
Дом-и-сад
С
Стиль-и-уход-за-собой
П
Праздники-и-традиции
Т
Транспорт
П
Путешествия
С
Семейная-жизнь
Ф
Философия-и-религия
Б
Без категории
М
Мир-работы
Х
Хобби-и-рукоделие
И
Искусство-и-развлечения
В
Взаимоотношения
З
Здоровье
К
Кулинария-и-гостеприимство
Ф
Финансы-и-бизнес
П
Питомцы-и-животные
О
Образование
О
Образование-и-коммуникации
FraGamer228
FraGamer228
14.03.2023 01:47 •  Математика

Ть розвязати рівняння 2x+3(15-x)=38

👇
Ответ:
89538277266
89538277266
14.03.2023
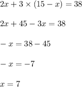
2x + 3 \times (15 - x) = 38 \\ \\ 2x + 45 - 3x = 38 \\ \\ - x = 38 - 45 \\ \\ - x = - 7 \\ \\ x = 7

ответ: 7

~•~•~•ZLOY_TIGROVSKIY~•~•~•
4,8(32 оценок)
Ответ:
puremoorning
puremoorning
14.03.2023

2х+45-3х=38

2х-3х=38-45

-х=-7

4,7(62 оценок)
Открыть все ответы
Ответ:
Давиденко
Давиденко
14.03.2023
Например задача:В трёх тетрадях 60 листов. В первой и второй тетрадях — по 24 листа. Сколько листов в третьей тетради?                                                В 1-ой тет.-24 листа                                                                                           Во 2-ой тет.-24 листа                                                                                       В 3-ей тет.-? лист.                                                                                              Всего-60 листов                                                                                                 1)24+24 =48(л.)-в 1-ой и 2-ой тетради                                                                2)60-48=12(л.)-в 3-ей тетради                                                                            ответ:12 листов в третьей тетради.
4,8(53 оценок)
Ответ:
olqa252ru
olqa252ru
14.03.2023
Тут куча средних линий. теперь надо посмотреть на произвольный Δ, в котором проведена средняя линия. Она отсекает от основного Δ треугольничек, который составляет 1/4 часть от основного . Вот этим и будем пользоваться при решении нашей задачи.
Итак вся площадь = 7, SΔАОВ = 4⇒ оставшаяся часть имеет площадь = 3. Эта оставшаяся часть состоит из ΔВОС и ΔАОС. В этих треугольниках есть средние линии  MN и  КР.
S(MNCO) = 3/4S(ΔBOC)
S(KOCP) = 3/4S(ΔAOC)
 3/4S(ΔBOC)+3/4S(ΔAOC)= 3/4S(оставшейся части)=
=3/4·3 = 9/4
S(ΔMOK) = 1/4S(ΔAOB) = 1/4·4 = 1
9/4 + 1 = 2,25 + 1 = 3,25
ответ: 3,25
4,4(77 оценок)
Это интересно:
Новые ответы от MOGZ: Математика
logo
Вход Регистрация
Что ты хочешь узнать?
Спроси Mozg
Открыть лучший ответ