М
Молодежь
К
Компьютеры-и-электроника
Д
Дом-и-сад
С
Стиль-и-уход-за-собой
П
Праздники-и-традиции
Т
Транспорт
П
Путешествия
С
Семейная-жизнь
Ф
Философия-и-религия
Б
Без категории
М
Мир-работы
Х
Хобби-и-рукоделие
И
Искусство-и-развлечения
В
Взаимоотношения
З
Здоровье
К
Кулинария-и-гостеприимство
Ф
Финансы-и-бизнес
П
Питомцы-и-животные
О
Образование
О
Образование-и-коммуникации

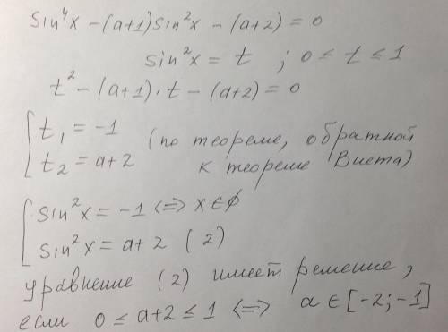
Сделала заменуsin {}^{2} x = t \\ t {}^{2} - t(a + 1) - (a + 2) = 0потом из этого уравнения нашла дискриминант:  - 3a {}^{2} + 5 вот не знаю, как поступить дальше, чтобы найти ответ.​

👇
Ответ:
vladgubin78
vladgubin78
27.10.2021

[-2 ; -1]

Пошаговое объяснение:

Очередной грех на душу ( плинтусный пример )


Сделала замену<img src=потом из этого уравнен" />
4,4(97 оценок)
Открыть все ответы
Ответ:
Мария1111121
Мария1111121
27.10.2021

Решение 1:

Так как в результате действий из прямоугольника получается квадрат, очевидно, что бо'льшая сторона прямоугольника уменьшается в 2 раза, а меньшая - увеличивается в 3 раза.

Обозначим бо'льшую сторону прямоугольника - х, меньшую - у.

Тогда:
            x/2 = 3y
Площадь прямоугольника известна по условию:
            ху = 54

Решаем систему:

{ x = 6y

{ 6y² = 54


y² = 9

y = 3 (м) - меньшая сторона прямоугольника

х = 6*3 = 18 (м) - бо'льшая сторона прямоугольника

Сторона квадрата: x/2 = 18/2 = 9 (м)


ответ: 9 м.


Решение 2:

Примем за х сторону квадрата.
Тогда для того, чтобы получить из этого квадрата прямоугольник, необходимо выполнить ОБРАТНЫЕ действия, то есть:
                      одну сторону УМЕНЬШИТЬ в 3 раза,
                      вторую - УВЕЛИЧИТЬ в 2 раза.

Тогда:

x/3 * 2x = 54
2x² = 162
x² = 81
x = 9 (м)


ответ: 9 м.

4,7(8 оценок)
Ответ:
Reek5657
Reek5657
27.10.2021

Решение 1:

Так как в результате действий из прямоугольника получается квадрат, очевидно, что бо'льшая сторона прямоугольника уменьшается в 2 раза, а меньшая - увеличивается в 3 раза.

Обозначим бо'льшую сторону прямоугольника - х, меньшую - у.

Тогда:

              x/2 = 3y

Площадь прямоугольника известна по условию:

               ху = 54

Решаем систему:

               { x = 6y

               { 6y² = 54


                 y² = 9

                 y = 3 (м) - меньшая сторона прямоугольника

                 х = 6*3 = 18 (м) - бо'льшая сторона прямоугольника


Сторона квадрата: x/2 = 18/2 = 9 (м)


ответ: 9 м.


Решение 2:

Примем за х сторону квадрата.

Тогда для того, чтобы получить из этого квадрата прямоугольник, необходимо выполнить ОБРАТНЫЕ действия, то есть:

                        одну сторону УМЕНЬШИТЬ в 3 раза,

                        вторую - УВЕЛИЧИТЬ в 2 раза.

Тогда:

             x/3 * 2x = 54

               2x² = 162

                 x² = 81

                 x = 9 (м)


ответ: 9 м.

4,6(65 оценок)
Это интересно:
Новые ответы от MOGZ: Математика
logo
Вход Регистрация
Что ты хочешь узнать?
Спроси Mozg
Открыть лучший ответ