М
Молодежь
К
Компьютеры-и-электроника
Д
Дом-и-сад
С
Стиль-и-уход-за-собой
П
Праздники-и-традиции
Т
Транспорт
П
Путешествия
С
Семейная-жизнь
Ф
Философия-и-религия
Б
Без категории
М
Мир-работы
Х
Хобби-и-рукоделие
И
Искусство-и-развлечения
В
Взаимоотношения
З
Здоровье
К
Кулинария-и-гостеприимство
Ф
Финансы-и-бизнес
П
Питомцы-и-животные
О
Образование
О
Образование-и-коммуникации
микки36
микки36
30.05.2020 08:03 •  Математика

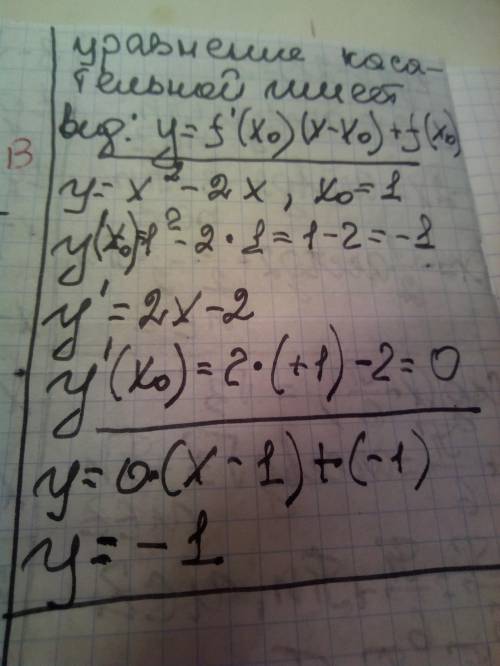
Найдите уровнение касательной к графику y=x2-2x в точке x0=1​

👇
Ответ:
nlapenko
nlapenko
30.05.2020

решение смотри на фотографии

Пошаговое объяснение:


Найдите уровнение касательной к графику y=x2-2x в точке x0=1​
4,7(54 оценок)
Открыть все ответы
Ответ:
Hictoru
Hictoru
30.05.2020
Можно просто решить подбором
1) подбираем цену тетрадей - к примеру у нас будет она стоить 30 рублей и у нас получается 3•30=90(руб) это стоят 3 тетради
2) подбираем цену карандаша - ну пускай она у нас будет - 20 рублей и у нас получается - 4•20=80 рублей
3) ну и 2 резинки теперь - можно сделать так же подбором и получится 15 либо можно сделать по другому - развёрнутой записью вот так - 90+80=170
И потом 200-170=30 и 30:2=15 рублей можно вот сделать подбором всё либо в конце действиями обычными
ответ тетрадь стоит 30 рублей
4,4(100 оценок)
Ответ:
Цунами — это длинные волны, порождаемые мощным воздействием на всю толщу воды в океане. Более 80 % цунами возникают на периферии Тихого океана. Причиной большинства цунами являются подводные землетрясения, во время которых происходит резкое смещение участка морского дна.
Тихий океан является "родителем" большинства цунами, которые мы наблюдаем на планете. Причины, которые провоцируют появление цунами, следующие:
Подводные землетрясения. Во время землетрясения часть дна резко опускается, а другая резко поднимается. Это выталкивает большой объем воды вертикально вверх, и вода, стремясь принять горизонтальное положение, создает несколько волн.Извержения вулканов. Крупное извержение приводит дно в движение, подобно землетрясению. Опасность цунами, вызванных извержением в том, что проседая вниз, вулкан создает обширную чашеобразную впадину. Стремясь ее заполнить, вода создает очень длинные волны. Дурную славу имеют цунами, созданные после извержения вулкана Кракатау. Наблюдавшиеся в гаванях всего мира эти цунами за полтора столетия уничтожили 5 000 кораблей, а погибло 36 000 людей.Оползни. Возникаю цунами из-за оползней нечасто. Последний известный случай произошел в 1958 г. когда на Аляске масса льда и земли обрушилась в воду с почти километровой высоты, подняв волну до 50 м. Локальные цунами до 20 м. возникают в Индонезии, где находится большое скопление шельфовых накоплений.
В отличие от обычных волн, которые возникают, например, во время шторма, цунами затрагивает всю толщу воды, а не только ее поверхность. Поэтому даже небольшая высота цунами может нести катастрофический характер.
Если берег пологий, то цунами вообще может накатывать без волн, и выглядит это как серия резких отливов и приливов.
Средств, которые бы точно идентифицировали приближение цунами, не существуют. Поэтому, если шторм налетает постепенно, и люди успевают отойти на безопасное расстояние, то цунами всегда стремительны. Цунами сопровождаются сильным отходом воды от берега, но покинуть место бывает уже поздно.
Для судна, находящегося в открытом море, где глубина достигает нескольких километров, цунами не представляет никакой опасности, т.к. высота волны в среднем всего 1 м. Скорость такой волны в очаге возникновения достигает 700 км/ч. При приближении к берегу с понижением глубины толща движущейся волны поднимается вверх на высоту до 50 м., одновременно и падает скорость движения.
Цунами имеет несколько волн, и первая, как правило, не самая большая, и вводит в заблуждение, что цунами уже миновало. Но первая волна только смачивает берег, уменьшая сопротивление для последующих волн. Роковой ошибкой погибших является возвращение на берег после первоначального разрушения, где их настигает вторая самая крупная волна. Повторные волны могут приходить с интервалом до 2-3 часов.
4,4(88 оценок)
Это интересно:
Новые ответы от MOGZ: Математика
logo
Вход Регистрация
Что ты хочешь узнать?
Спроси Mozg
Открыть лучший ответ