М
Молодежь
К
Компьютеры-и-электроника
Д
Дом-и-сад
С
Стиль-и-уход-за-собой
П
Праздники-и-традиции
Т
Транспорт
П
Путешествия
С
Семейная-жизнь
Ф
Философия-и-религия
Б
Без категории
М
Мир-работы
Х
Хобби-и-рукоделие
И
Искусство-и-развлечения
В
Взаимоотношения
З
Здоровье
К
Кулинария-и-гостеприимство
Ф
Финансы-и-бизнес
П
Питомцы-и-животные
О
Образование
О
Образование-и-коммуникации
Жилая
Жилая
26.08.2021 22:14 •  Математика

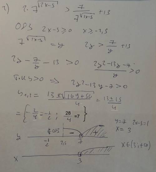
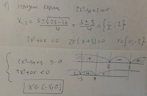
Решите неравенства. 15 егэ профильная .

👇
Ответ:
amelisova06
amelisova06
26.08.2021

Пошаговое объяснение:


Решите неравенства. 15 егэ профильная .
Решите неравенства. 15 егэ профильная .
4,6(3 оценок)
Открыть все ответы
Ответ:
larisagorkavchenko
larisagorkavchenko
26.08.2021
Рассмотрим треугольник АСН, он прямоугольный, ∠АНС=90°, поскольку СН - это высота, а высота опускается на сторону треугольника под углом 90°.
АС - гипотенуза, СН и АН - это катеты.
∠НАС=75°.
Тангенс угла у - это отношение противолежащего катета к прилежащему: tg ∠НАС= СН/АН, отсюда
АН=СН/tg ∠НАС=3/tg 75°=3/3,732=0,8038см

АВ=АН+ВН, отсюда
ВН=АВ-АН=6-0,8038=5,1962 см

Рассмотрим треугольник ВСН, он прямоугольный, ∠ВНС=90°, поскольку СН - это высота, а высота опускается на сторону треугольника под углом 90°.
ВС - гипотенуза, СН и ВН - это катеты.
Тангенс угла у - это отношение противолежащего катета к прилежащему:
 tg ∠НВС= СН/ВН=3/5,1962=0,577
Значит выходит по таблице тангенсов, что ∠НВС=30°.
Исходя из того, что ∠АВС=∠НВС, значит искомый ∠АВС=30°

ответ: ∠АВС=30°
4,5(82 оценок)
Ответ:
Игорь5002
Игорь5002
26.08.2021
Если они удаляются друг от друга, то за 48 мин они в сумме проехали 12 км. 18-6 = 12 км. 48 мин =48/60 ч = 4/5 ч = 0,8 ч.
 Если у пешехода скорость х км/ч, то у всадника х+9 км/ч.
За 48 мин пешеход х км, а всадник проехал 0,8(х+9) км. Сумма 12 км.
0,8х +0,8(х+9)=12,
1,6х=12-7,2
1,6х=4,8
х=3 км/ч - скорость пешехода.

Возможно другое понимание. В противоположных направлениях - навстречу друг другу. Тогда за 48 мин сумма пройденных расстояний будет 24 км( 6 км до встречи и 18 км после встречи) 18+6 = 24 ккм.
Уравнение будет другим.
0,8х + 0,8(х+9)=24
1,6х=24-7,2
1,6х=16,8
х=10,5 км/ч.
4,6(79 оценок)
Это интересно:
Новые ответы от MOGZ: Математика
logo
Вход Регистрация
Что ты хочешь узнать?
Спроси Mozg
Открыть лучший ответ