М
Молодежь
К
Компьютеры-и-электроника
Д
Дом-и-сад
С
Стиль-и-уход-за-собой
П
Праздники-и-традиции
Т
Транспорт
П
Путешествия
С
Семейная-жизнь
Ф
Философия-и-религия
Б
Без категории
М
Мир-работы
Х
Хобби-и-рукоделие
И
Искусство-и-развлечения
В
Взаимоотношения
З
Здоровье
К
Кулинария-и-гостеприимство
Ф
Финансы-и-бизнес
П
Питомцы-и-животные
О
Образование
О
Образование-и-коммуникации
biolev
biolev
23.11.2020 17:46 •  Математика

с решением
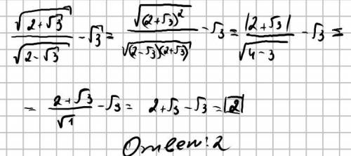
(√(2+√(3))/√(2-√(3)))-√(3)

👇
Ответ:
BlackBear2517
BlackBear2517
23.11.2020

2

Пошаговое объяснение:


с решением (√(2+√(3))/√(2-√(3)))-√(3)
4,8(13 оценок)
Открыть все ответы
Ответ:
Не может.

будем решать от противного(положного).
этап 1.
предположим что есть такие 2 числа.
тогда при делении мы получим 2 или 3
потому что минимальное число 1234, а максимальное 4321
4321 : 1234 = 3,*** < 4
если при делении 1 - то числа равные (не может быть)
этап 2.
если при делении получим 2 тогда при умножении меньшего получим в составе большего цифры: 1*2 = 2, 2 * 2 = 4, 3 * 2 = 6 - чего быть не может.
остается только вариант, когда одно в 3 раза меньше другого.
этап 3.
рассмотрим меньшее из чисел.
если последнюю цифру поставить 2 или 3 то в результате умножения получим 6 или 8 - чего быть не может.
если последняя цифра = 1 то первая 2, 3 или 4 умноженная на 3 даст больше 4 - противоречие к (если последняя цифра = 1)
рассмотрим последний вариант, где последняя цифра = 4, первая соответственно = 1 (2 и 3 умноженные на 3 > 4)
4 * 3 = 12
если вторая цифра = 2 то 2*3 + 1 = 7 - противоречие
если вторая цифра = 3 то 3 * 3 + 1 =10 (или 0) - опять противоречие.

таким образом мы исключили все варианты образования меньшего из чисел и тем самым показали что 2 чисел с указанными свойствами не существует.
4,4(73 оценок)
Ответ:
liza2005yakovl
liza2005yakovl
23.11.2020
Не может.

будем решать от противного(положного).
этап 1.
предположим что есть такие 2 числа.
тогда при делении мы получим 2 или 3
потому что минимальное число 1234, а максимальное 4321
4321 : 1234 = 3,*** < 4
если при делении 1 - то числа равные (не может быть)
этап 2.
если при делении получим 2 тогда при умножении меньшего получим в составе большего цифры: 1*2 = 2, 2 * 2 = 4, 3 * 2 = 6 - чего быть не может.
остается только вариант, когда одно в 3 раза меньше другого.
этап 3.
рассмотрим меньшее из чисел.
если последнюю цифру поставить 2 или 3 то в результате умножения получим 6 или 8 - чего быть не может.
если последняя цифра = 1 то первая 2, 3 или 4 умноженная на 3 даст больше 4 - противоречие к (если последняя цифра = 1)
рассмотрим последний вариант, где последняя цифра = 4, первая соответственно = 1 (2 и 3 умноженные на 3 > 4)
4 * 3 = 12
если вторая цифра = 2 то 2*3 + 1 = 7 - противоречие
если вторая цифра = 3 то 3 * 3 + 1 =10 (или 0) - опять противоречие.

таким образом мы исключили все варианты образования меньшего из чисел и тем самым показали что 2 чисел с указанными свойствами не существует.
4,6(79 оценок)
Новые ответы от MOGZ: Математика
logo
Вход Регистрация
Что ты хочешь узнать?
Спроси Mozg
Открыть лучший ответ