М
Молодежь
К
Компьютеры-и-электроника
Д
Дом-и-сад
С
Стиль-и-уход-за-собой
П
Праздники-и-традиции
Т
Транспорт
П
Путешествия
С
Семейная-жизнь
Ф
Философия-и-религия
Б
Без категории
М
Мир-работы
Х
Хобби-и-рукоделие
И
Искусство-и-развлечения
В
Взаимоотношения
З
Здоровье
К
Кулинария-и-гостеприимство
Ф
Финансы-и-бизнес
П
Питомцы-и-животные
О
Образование
О
Образование-и-коммуникации
кама148
кама148
27.11.2022 08:48 •  Математика

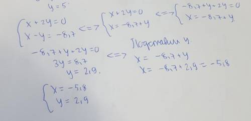
Дана система уровнения
{ х+2у=0,
{х-у=-8,7.
Из второго уравнения выразите переменную х

👇
Ответ:
steep6
steep6
27.11.2022

Решение системы на фотографии.


Дана система уровнения { х+2у=0, {х-у=-8,7. Из второго уравнения выразите переменную х
4,6(24 оценок)
Открыть все ответы
Ответ:
100116
100116
27.11.2022
В самой главной мечети мусульман в Мекке в 18 метрах от Чёрного камня находится священный источник Зам-зам. История его возникновения связана с жизнью двух пророков Всевышнего - Ибрахима и его сына Исмаила, да будет над ними мир!
В истории о пророках сказано, как Ибрахим, мир ему, по велению Аллаха, отвёл в пустыню свою жену Хаджар вместе с младенцем Исмаилом - и оставил их в долине на том месте, где ныне находится Священная Кааба. И не было в то время там ни людей, ни воды. Когда, оставив им мешочек, в котором были финики и ёмкость с водой, Ибрахим, мир ему, уходил, Хаджар забеспокоилась и спросила: «На кого ты нас оставляешь в этой безлюдной пустыне?» Ибрахим, мир ему, сказал, что таково веление Господа. На что Хаджар ответила: «Если Господь велел тебе оставить меня здесь, то воля Творца мне достаточна!». Тогда Ибрахим, мир ему, обратился к Господу с мольбой за свою семью и поручил Ему жену и сына - и попросил наполнить сердца людей любовью к этой священной земле. Доверив Господу жену и сына, Ибрахим, мир ему, вернулся на землю Шама.
4,5(97 оценок)
Ответ:
polykanasch201
polykanasch201
27.11.2022
Х+187:11=21                                                                                                               х+17=21                                                                                                                       х=21-17                                                                                                                       х=10                                                                                                                             16*25-28х=612:3                                                                                                          400-28х=204                                                                                                                28х=400-204                                                                                                                28х=196                                                                                                                       х=196:28                                                                                                                     х=7                                                                                                                               К, 27:х+405:9=48                                                                                                             27:х+45=48                                                                                                                 27:х=48-45                                                                                                                    27:х=3                                                                                                                         х=27:3                                                                                                                          х=9                                                                                                                         О. 581:83+51:х=24                                                                                                          7+51:х=24                                                                                                                    51:х=24-7                                                                                                                    51:х=17                                                                                                                      х=51:17                                                                                                                       х=3                                     А, 216:х+16*18=324                                                                                                     216:х+288=324                                                                                                       216:х=324-288                                                                                                         216:х=36                                                                                                                 х=216:36                                                                                                                 х=6                                                                                                                      Е, 24х-345:23=105                                                                                                       24х-15=105                                                                                                             24х=105+15                                                                                                             24х=120                                                                                                                   х=120:24                                                                                                                 х=5                                                                                                                                 
4,7(92 оценок)
Новые ответы от MOGZ: Математика
Полный доступ к MOGZ
Живи умнее Безлимитный доступ к MOGZ Оформи подписку
logo
Вход Регистрация
Что ты хочешь узнать?
Спроси Mozg
Открыть лучший ответ