М
Молодежь
К
Компьютеры-и-электроника
Д
Дом-и-сад
С
Стиль-и-уход-за-собой
П
Праздники-и-традиции
Т
Транспорт
П
Путешествия
С
Семейная-жизнь
Ф
Философия-и-религия
Б
Без категории
М
Мир-работы
Х
Хобби-и-рукоделие
И
Искусство-и-развлечения
В
Взаимоотношения
З
Здоровье
К
Кулинария-и-гостеприимство
Ф
Финансы-и-бизнес
П
Питомцы-и-животные
О
Образование
О
Образование-и-коммуникации
LindaKron
LindaKron
19.10.2021 18:50 •  Математика

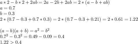
Сравните значения выражения. б) а удвоенная - b удвоенная+2аb и (а-b)*(а+b) при а= 0,7 и b = 0,3.

👇
Ответ:
KuDiAnA2003
KuDiAnA2003
19.10.2021
a*2-b*2+2ab=2a-2b+2ab=2*(a-b+ab) \\ a=0.7\\b=0.3\\2*(0.7-0.3+0.7*0.3)=2*(0.7-0.3+0.21)=2*0.61=1.22\\ \\ (a-b)(a+b)=a^2-b^2\\ 0.7^2-0.3^2=0.49-0.09=0.4\\1.22\ \textgreater \ 0.4
4,7(36 оценок)
Открыть все ответы
Ответ:
Angelina12323
Angelina12323
19.10.2021

Надо определить функцию зависимости площади заданного прямоугольника от величины его сторон на катетах.

Пусть х - сторона на катете 2, а у - сторона на катете 4.

Из подобия треугольников с остатками сторон на катетах получаем:

у/(2 - х) = (4 - у)/х.

ху = (2 - х)(4 - у) = 8 - 4х - 2у + ху.

8 - 4х - 2у = 0.

Отсюда находим зависимость у от х:   у = 4 - 2х.

Получаем формулу площади искомого прямоугольника:

S = xy = x(4 - 2x) = 4x - 2x².

Производная S' = 4 - 4x = 0. Это экстремум функции. х = 4/4 = 1.

Определяем знаки производной левее и правее точки х = 1.

х =      0,5       1        1,5

y' =      2         0         -2.     Как видим, в точке х = 1 максимум.

у = 4 - 2*1 = 4 - 2 = 2.

ответ: вписанный прямоугольник имеет стороны 1 и 2.

4,5(99 оценок)
Ответ:
finn10
finn10
19.10.2021

Пошаговое объяснение:

Объём прямого кругового цилиндра равен:

V = π * r^2 * h

(где r — радиус основания, h — высота, π ~ 3.14).

Примем диаметр цилиндра за В. Из рисунка и условий задачи ясно, что В = а.

Из рисунка и условий задачи следует, что высота цилиндра h = a

Из условий задачи – осевое сечение цилиндра есть квадрат, площадь которого равняется 36 см.

Отсюда, сторона квадрата равна квадратному корню из 36 (так как площадь квадрата равна квадрату его стороны) – отсюда, сторона квадрата равна 6 см.

Следовательно, диаметр цилиндра В = а = 6 см, его радиус r = а / 2 = 6 / 2 = 3 см

Высота цилиндра h = а = 6 см.

Отсюда, по формуле объёма цилиндра:

V = 3,14 * 3^2 * 6 = 3,14 * 9 * 6 = 169,56

Объём цилиндра равен 169,56 куб. см, что и требовалось определить!

4,4(54 оценок)
Это интересно:
Новые ответы от MOGZ: Математика
logo
Вход Регистрация
Что ты хочешь узнать?
Спроси Mozg
Открыть лучший ответ