М
Молодежь
К
Компьютеры-и-электроника
Д
Дом-и-сад
С
Стиль-и-уход-за-собой
П
Праздники-и-традиции
Т
Транспорт
П
Путешествия
С
Семейная-жизнь
Ф
Философия-и-религия
Б
Без категории
М
Мир-работы
Х
Хобби-и-рукоделие
И
Искусство-и-развлечения
В
Взаимоотношения
З
Здоровье
К
Кулинария-и-гостеприимство
Ф
Финансы-и-бизнес
П
Питомцы-и-животные
О
Образование
О
Образование-и-коммуникации
Glenchittt1
Glenchittt1
22.03.2021 06:30 •  Математика

8. С вирази, використовуючи закони дій над числами будь ласка 5 клас​

👇
Ответ:
ivankn
ivankn
22.03.2021

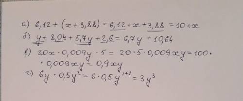
Упростите выражения.


8. С вирази, використовуючи закони дій над числами будь ласка 5 клас​
4,5(62 оценок)
Открыть все ответы
Ответ:
sbux44
sbux44
22.03.2021

Так как на мотете может выпасть орёл или герб, а всего монет три, то всего возможно вариантов 23 = 8. Возможные варианты выпадений:

1) О О О;

2) О О Р;

3) О Р О;

4) О Р Р;

5) Р О О;

6) Р О Р;

7) Р Р О;

8) Р Р Р;

Где Р – решка (герб), О – орёл.

Условию, что только на одной монете выпадет герб, удовлетворяют 3 случая: (2), (3), (5).

Чтобы найти вероятность, что герб выпадет только на одной монете, необходимо разделить благоприятные исходы на общее число исходов:

P = 3/8 = 0,375.

ответ: 0,375.

Условию, что на всех монетах выпадет герб, удовлетворяет 1 случай: (8).

Чтобы найти вероятность, что герб выпадет на всех монетах, необходимо разделить благоприятные исходы на общее число исходов:

P = 1/8 = 0,125.

ответ: 0,125.

Условию, что герб выпадет хотя бы на одной монете, удовлетворяет 7 случаев: с (2) по (8).

Чтобы найти вероятность, что герб выпадет хотя бы на одной монете, необходимо разделить благоприятные исходы на общее число исходов:

P = 7/8 = 0,875.

ответ: 0,875.

Условию, что герб выпадет не менее, чем на двух монетах, удовлетворяют 4 случая: (4), (6), (7), (8).

Чтобы найти вероятность, что герб выпадет не менее, чем на двух монетах, необходимо разделить благоприятные исходы на общее число исходов:

P = 4/8 = 0,5.

ответ: 0,5.

4,5(31 оценок)
Ответ:
rfhbyf23690
rfhbyf23690
22.03.2021

18 Задание

1) Утверждение неверное. Из 15 плакатов 6 плакатов только с надписями, а 5 только с фотографиями. Это означает, что плакатов и с фотографиями, и с надписями 4, а не 5.

2) Утверждение верное. По условию нам не дано, что были какие-то другие плакаты (например, пустые).

3) Утверждение верное. Плакатов и с фотографиями, и с надписями 4, а 4 меньше 5.

4) В условии ничего не сказано про пустые плакаты. Будем считать его неверным.

ответ: 2 и 3

19 Задание

Первое, что нам ясно из третьего условия - это число находится в перерыве между 5001 и 5999.

Что касается первых двух условий, то сумма цифр числа А должна быть 28, так как при полном сложении мы получаем 10 (2 + 8 = 10), а А + 4 = 14 (10 + 4 = 14).

Учитывая, что первая цифра числа А это 5, то остальные три цифры должны давать в сумме 23. Ближайшее число кратное трём это 24.

Попробуем несколько комбинаций и посмотрим какая из них будет соответствовать обоим условиям.

5 + 6 + 9 + 8 = 28

5 + 7 + 0 + 2 = 14

Подходит. Ура! (Если честно, тут шестая или седьмая попытка, я просто решил не захламлять ответ долгими поисками комбинации).

ответ: 5698

Задание 20

Это вообще элементарно. ответом будет наименьшее общее кратное (НОК) этих чисел.

НОК (8, 6, 12) = 24.

ответ: 24

4,7(4 оценок)
Это интересно:
Новые ответы от MOGZ: Математика
logo
Вход Регистрация
Что ты хочешь узнать?
Спроси Mozg
Открыть лучший ответ