М
Молодежь
К
Компьютеры-и-электроника
Д
Дом-и-сад
С
Стиль-и-уход-за-собой
П
Праздники-и-традиции
Т
Транспорт
П
Путешествия
С
Семейная-жизнь
Ф
Философия-и-религия
Б
Без категории
М
Мир-работы
Х
Хобби-и-рукоделие
И
Искусство-и-развлечения
В
Взаимоотношения
З
Здоровье
К
Кулинария-и-гостеприимство
Ф
Финансы-и-бизнес
П
Питомцы-и-животные
О
Образование
О
Образование-и-коммуникации
ichernikov21
ichernikov21
12.12.2020 02:19 •  Математика

Решите системы уравнений ОЧЕНЬ СИЛЬНО​

👇
Ответ:
СыроКок1
СыроКок1
12.12.2020

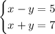
13.1.

а)

\begin{cases}x-y=5\\x+y=7\end{cases}

Прибавим к первому уравнению второе, из второго выразим y:

\begin{cases}x+x-y+y=5+7\\y=7-x\end{cases}\Rightarrow\begin{cases}2x=12\\y=7-x\end{cases}\Rightarrow\begin{cases}x=6\\y=7-x\end{cases}

Подставим значение x во второе уравнение и найдём значение y:

\begin{cases}x=6\\y=7-6\end{cases}\Rightarrow\boxed{\begin{cases}x=6\\y=1\end{cases}}

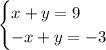
б)

\begin{cases}x+y=9\\-x+y=-3\end{cases}

Прибавим ко второму уравнению первое, из первого выразим x:

\begin{cases}x=9-y\\-x+x+y+y=-3+9\end{cases}\Rightarrow\begin{cases}x=9-y\\2y=6\end{cases}\Rightarrow\begin{cases}x=9-y\\y=3\end{cases}

Подставим значение y в первое уравнение и найдём значение x:

\begin{cases}x=9-3\\y=3\end{cases}\Rightarrow\boxed{\begin{cases}x=6\\y=3\end{cases}}

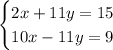
13.2.

а)

\begin{cases}2x+11y=15\\10x-11y=9\end{cases}

Прибавим к первому уравнению второе, из второго выразим y:

\begin{cases}2x+10x+11y-11y=15+9\\11y=10x-9\end{cases}\Rightarrow\begin{cases}12x=24\\y=\frac{10x-9}{11}\end{cases}\Rightarrow\begin{cases}x=2\\y=\frac{10x-9}{11}\end{cases}

Подставим значение x во второе уравнение и найдём значение y:

\begin{cases}x=2\\y=\frac{10\cdot2-9}{11}\end{cases}\Rightarrow\boxed{\begin{cases}x=2\\y=1\end{cases}}

б)

\begin{cases}9y+13x=35\\29y-13x=3\end{cases}

Прибавим ко второму уравнению первое, из первого выразим x:

\begin{cases}13x=35-9y\\29y+9y-13x+13x=3+35\end{cases}\Rightarrow\begin{cases}x=\frac{35-9y}{13}\\38y=38\end{cases}\Rightarrow\begin{cases}x=\frac{35-9y}{13}\\y=1\end{cases}

Подставим значение y в первое уравнение и найдём значение x:

\begin{cases}x=\frac{35-9\cdot1}{13}\\y=1\end{cases}\Rightarrow\boxed{\begin{cases}x=2\\y=1\end{cases}}

4,8(55 оценок)
Открыть все ответы
Ответ:
варяг2
варяг2
12.12.2020
Задание решить нет возможности, так как двухзначное число, которое необходимо найти содержит две цифры и их сумма должна быть равна 18. Но в задании сказано, что единиц должно быть на четыре меньше, чем десятков. При другом условии задания такое решение возможно было бы выполнить, если бы десятки и единицы были бы равными, то есть например двухзначное число 99. (проверка заданной задачи: сумма цифр двузначного числа = 18 -значит это число 99, но в условии сказано, что единиц меньше на 4, отсюда сумма цифр = 18-4=14, а это противоречит условию)
4,8(99 оценок)
Ответ:
Яхшы, җәен! Алтын кояш нурлары сүнү щедро льются җиргә. Зәңгәр тасма убегает вдаль елгасы. Урман тора праздничном, җәйге убранстве. Чәчәкләр — лиловые, сары, зәңгәр разбрелись буенча полянкам, опушкам.
Җәйге кайчак була һәр төрле могҗизалар тудырырга сәләтле. Тора урманы " зеленом наряде, аяк астында яшел травушка-муравушка, сплошь усыпанная росой. Әмма бу? Әле кичә бу полянке берни дә юк иде, ә бүген ул сплошь усеяна маленькими, красными, әйтерсең драгоценными, камешками. Бу ягодка – җиләге. Тњгелмени бу могҗиза?
Пыхтит, радуясь вкусной провизии, еж. Еж – ул всеяден. Шуңа күрә аның өчен наступили данлы денечки. Әйе өчен дә, башка хайваннар да. Ликует барысы да тере. Кош шатлыклы заливаются, алар хәзер үзебездә ватанында, аларга әлегә кирәк түгел спешить " дальние, җылы як, алар наслаждаются җылы, солнечными көннәре.
Җәй яраталар балалар һәм өлкәннәр. Өчен озын-озын, аяз көннәр һәм кыска җылы төн. Өчен мул уңыш җәйге бакча. Өчен иганәчеләрнең юмарт басулар тулы арыш, бодай.
Барлык тере җәен җырлый һәм торжествует.
Переводила с перводчика, так что если будут какие то недочеты, то это не я)
4,6(70 оценок)
Новые ответы от MOGZ: Математика
Полный доступ к MOGZ
Живи умнее Безлимитный доступ к MOGZ Оформи подписку
logo
Вход Регистрация
Что ты хочешь узнать?
Спроси Mozg
Открыть лучший ответ