М
Молодежь
К
Компьютеры-и-электроника
Д
Дом-и-сад
С
Стиль-и-уход-за-собой
П
Праздники-и-традиции
Т
Транспорт
П
Путешествия
С
Семейная-жизнь
Ф
Философия-и-религия
Б
Без категории
М
Мир-работы
Х
Хобби-и-рукоделие
И
Искусство-и-развлечения
В
Взаимоотношения
З
Здоровье
К
Кулинария-и-гостеприимство
Ф
Финансы-и-бизнес
П
Питомцы-и-животные
О
Образование
О
Образование-и-коммуникации
ShEnNnY
ShEnNnY
25.12.2022 13:00 •  Математика

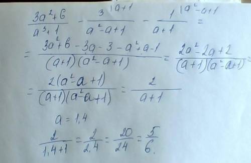
Найти значение выражения при a=1,4​

👇
Ответ:
Anastasia123454321
Anastasia123454321
25.12.2022

Пошаговое объяснение:


Найти значение выражения при a=1,4​
4,8(49 оценок)
Открыть все ответы
Ответ:
ИсаковД
ИсаковД
25.12.2022
Действия с отрицательными и положительными числами Абсолютная величина (модуль). Сложение. Вычитание. Умножение. Деление. Абсолютная величина ( модуль ). Для отрицательного числа – это положительное число, получаемое от перемены его знака с « – » на « + »; для положительного числа и нуля – само это число. Для обозначения абсолютной величины (модуля) числа используются две прямые черты, внутри которых записывается это число. П р и м е р ы : | – 5 | = 5, | 7 | = 7, | 0 | = 0. Сложение: 1) при сложении двух чисел с одинаковыми знаками складываются их абсолютные величины и перед суммой ставится общий знак. П р и м е р ы : ( + 6 ) + ( + 5 ) = 11 ; ( – 6 ) + ( – 5 ) = – 11 . 2) при сложении двух чисел с разными знаками их абсолютные величины вычитаются ( из большей меньшая ) и ставится знак числа с большей абсолютной величиной. П р и м е р ы : ( – 6 ) + ( + 9 ) = 3 ; ( – 6 ) + ( + 3 ) = – 3 . Вычитание. Можно заменить вычитание двух чисел сложением, при этом уменьшаемое сохраняет свой знак, а вычитаемое берётся с обратным знаком. П р и м е р ы : ( + 8 ) – ( + 5 ) = ( + 8 ) + ( – 5 ) = 3; ( + 8 ) – ( – 5 ) = ( + 8 ) + ( + 5 ) = 13; ( – 8 ) – ( – 5 ) = ( – 8 ) + ( + 5 ) = – 3; ( – 8 ) – ( + 5 ) = ( – 8 ) + ( – 5 ) = – 13; Умножение. При умножении двух чисел их абсолютные величины умножаются, а произведение принимает знак « + » , если знаки сомножителей одинаковы, и знак « – » , если знаки сомножителей разные. Полезна следующая схема (правила знаков при умножении): + · + = + + · – = – – · + = – – · – = + При умножении нескольких чисел ( двух и более ) произведение имеет знак « + » , если число отрицательных сомножителей чётно, и знак « – » , если их число нечётно. П р и м е р : Деление. При делении двух чисел абсолютная величина делимого делится на абсолютную величину делителя, а частное принимает знак « + » , если знаки делимого и делителя одинаковы, и знак « – » , если знаки делимого и делителя разные. Здесь действуют те же правила знаков, что и при умножении: + : + = + + : – = – – : + = – – : – = + П р и м е р : ( – 12 ) : ( + 4 ) = – 3 .
4,6(2 оценок)
Ответ:
ALEX2000100
ALEX2000100
25.12.2022
Луковая муха - вредитель, который поражает луковые посадки заражая их.
Избавиться от луковой мухи можно с использованием проверенных народных причем не обязательно применять ядохимикаты
Вредитель не переносит запахов некоторых растений –  валерианы, томатов, мяты, пихты, багульника и хвои. Настоями этих растений опрыскивают грядки. Обрабатывать луковые посадки необходимо до начала лёта вредителя, так как данные средства обладают исключительно отпугивающим эффектом.

Мучнистая роса – быстро распространяющееся грибковое заболевание растений.

Оборвать пораженные (желтые, лишенные тургора) листья и все цветоносы. Если мучнистая роса появилась на розах, петуниях, хризантемах и подобных кустящихся растениях, желательно провести кардинальную обрезку. Чем больше поврежденных веток будет уничтожено, тем больше шансов на излечение;
4,5(68 оценок)
Это интересно:
logo
Вход Регистрация
Что ты хочешь узнать?
Спроси Mozg
Открыть лучший ответ