М
Молодежь
К
Компьютеры-и-электроника
Д
Дом-и-сад
С
Стиль-и-уход-за-собой
П
Праздники-и-традиции
Т
Транспорт
П
Путешествия
С
Семейная-жизнь
Ф
Философия-и-религия
Б
Без категории
М
Мир-работы
Х
Хобби-и-рукоделие
И
Искусство-и-развлечения
В
Взаимоотношения
З
Здоровье
К
Кулинария-и-гостеприимство
Ф
Финансы-и-бизнес
П
Питомцы-и-животные
О
Образование
О
Образование-и-коммуникации
Alexsandar
Alexsandar
28.01.2022 22:13 •  Математика

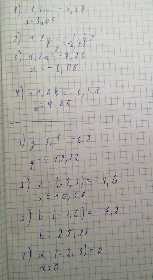
10. Решите уравнение:
1) –1,4х = –4,27; 2) 1,8у = –3,69; 3) 1,2а = –7,26; 4) –1,6b = –6,48;
1) у : 3,1 = –6,2; 2) х : (–2,3) = –4,6; 3) b : (–3,6) = –7,2; 4) х

👇
Ответ:
ololosha14
ololosha14
28.01.2022

ответ на фото

...............................

Если понравился ответ отметь его лутшим


10. Решите уравнение: 1) –1,4х = –4,27; 2) 1,8у = –3,69; 3) 1,2а = –7,26; 4) –1,6b = –6,48; 1) у : 3
4,6(9 оценок)
Открыть все ответы
Ответ:
dashalimonka2
dashalimonka2
28.01.2022
1) у Васи 73 тетради, 54 из них в клетку, а остальные в линейку. На сколько меньше у Васи тетрадей в линейку, чем тетрадей в клетку? 
Решение:
1)73-54=19
2)54-19=35
ответ: 35 тетрадей в линейку меньше чем тетради в клетку.

2) в библиотеке на 3 полках стояло 76 книг. На первой полке 27 книг, на второй полке на 8 книг больше. Остальные книги были на третей полке. Сколько книг на третей полке?
Дано:
3 полках-76 книг
1 полка-27 книг
2 полка-27+8
3 полка-?
Решение:
1)27+8=35-вторая полка
2)76-27-35=14 -третья полка
ответ: На третей полке 14 книг
4,5(53 оценок)
Ответ:
bryushkovadash
bryushkovadash
28.01.2022
1) 1 5/9 - 8/9 = 14/9 - 8/9 = 6/9 = 2/3
2) 1 1/12 - 5/12 = 13/12 - 5/12 = 8/12 = 2/3
3) 8 3/7 - 5 5/7 = 7 10/7 - 5 5/7 = 2 5/7
4) 4 1/8 - 1 5/8 = 3 9/8 - 1 5/8 = 2 4/8 = 2 1/2 = 2,5
5) 1 1/2 - 2/3 = 1 3/6 - 4/6 = 9/6 - 4/6 = 5/6 
6) 1 1/8 - 1/4 = 1 1/8 - 2/8 = 9/8 - 2/8 = 7/8
7) 2 3/10 - 4/15 = 2 9/30 - 8/30 = 2 1/30
8) 1 1/4 - 1/3 = 1 3/12 - 4/12 = 15/12 - 4/12 = 11/12
9) 1 2/3 - 5/6 = 1 4/6 - 5/6 = 10/6 - 5/6 = 5/6 
10) 3 1/8 - 1/6 = 3 3/24 - 4/24 = 2 27/24 - 4/24 = 2 23/24
11) 2 1/3 - 1 1/2 = 2 2/6 - 1 3/6 = 1 8/6 - 1 3/6  = 5/6
12) 7 1/9 - 4 1/3 = 7 1/9 - 4 3/9 = 6 10/9 - 4 3/9 = 2 7/9
13) 6 1/4 - 3 2/5 = 6 5/20 - 3 8/20 = 5 25/20 - 3 8/20 = 2 17/20
4,5(92 оценок)
logo
Вход Регистрация
Что ты хочешь узнать?
Спроси Mozg
Открыть лучший ответ