М
Молодежь
К
Компьютеры-и-электроника
Д
Дом-и-сад
С
Стиль-и-уход-за-собой
П
Праздники-и-традиции
Т
Транспорт
П
Путешествия
С
Семейная-жизнь
Ф
Философия-и-религия
Б
Без категории
М
Мир-работы
Х
Хобби-и-рукоделие
И
Искусство-и-развлечения
В
Взаимоотношения
З
Здоровье
К
Кулинария-и-гостеприимство
Ф
Финансы-и-бизнес
П
Питомцы-и-животные
О
Образование
О
Образование-и-коммуникации
Remka228
Remka228
22.06.2022 12:31 •  Математика

Выполните действия над комплексными числами: а) i⁴+i⁵-2i б) 3/1-3i - 1/3+i

👇
Ответ:
romanenckoalia
romanenckoalia
22.06.2022

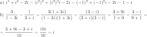
ответ: a) 1 - i;  b) i.

Пошаговое объяснение:

a)~i^4+i^5-2i=(i^2)^2+(i^2)^2i-2i=(-1)^2+(-1)^2i-2i=1-i\\ \\ b)~ \dfrac{3}{1-3i}-\dfrac{1}{3+i}=\dfrac{3(1+3i)}{(1-3i)(1+3i)}-\dfrac{(3-i)}{(3+i)(3-i)}=\dfrac{3+9i}{1+9}-\dfrac{3-i}{9+1}=\\ \\ \\ =\dfrac{3+9i-3+i}{10}=\dfrac{10i}{10}=i

4,5(97 оценок)
Открыть все ответы
Ответ:
yurkamail
yurkamail
22.06.2022
Зима-это замечательное цаг года!Вокруг үрглҗ белым-бело,а как красиво сверкают снежинки.Они кружатся в воздухе,проделывая пируэты,и тихо,бесшумно,ложатся на землю.Зимой намного тише,спокойнее. Можно һарх утром дотран киилх морозный воздух,который имеет приятную пробуждающую силу.Но ик всего,конечно,зиму любят күүкд. Сколько счастья можно увидеть на их лицах,когда идешь по улице.Зима-это цаг чудес,цаг исполнения желаний. Может бәәх, именно поэтому зимой өдр короче,длиннее таинственная ночь,которая и создает чудеса. Может бәәх, поэтому именно зимой үрглҗми любимый праздник,когда үрглҗ собираются семьями и загадывают желания, и все вместе верят в чудо.
4,6(62 оценок)
Ответ:
amina353
amina353
22.06.2022

Предположим, что весь центр куба 4х4х4 состоит из черных кубиков.

Тогда из них будет составлен куб 2х2х2 то есть всего - 8 кубиков.

Осталось: 32 - 8 = 24 черных кубика.

Минимальное количество черных плоскостей, размером 1х1 будет при расположении черных кубиков в центре каждой грани.

Всего в кубе 6 граней. Центр каждой составляет квадрат 2х2. То есть 4 черных квадратика в центре каждой грани. Всего 24.

Если мы сместим хотя бы один черный кубик на ребро или в угол куба, то количество черных квадратиков увеличится на 1 и на 2 соответственно.

Таким образом, минимальное количество черных квадратиков на поверхности данного куба - 24.

Так как каждая грань состоит из 16 квадратиков, то всего таких квадратиков на поверхности куба:  16 · 6 = 96.

Вычтем черные квадратики:  96 - 24 = 72 (белых квадратика 1х1)

ответ: 72.  

4,8(19 оценок)
Это интересно:
Новые ответы от MOGZ: Математика
logo
Вход Регистрация
Что ты хочешь узнать?
Спроси Mozg
Открыть лучший ответ