М
Молодежь
К
Компьютеры-и-электроника
Д
Дом-и-сад
С
Стиль-и-уход-за-собой
П
Праздники-и-традиции
Т
Транспорт
П
Путешествия
С
Семейная-жизнь
Ф
Философия-и-религия
Б
Без категории
М
Мир-работы
Х
Хобби-и-рукоделие
И
Искусство-и-развлечения
В
Взаимоотношения
З
Здоровье
К
Кулинария-и-гостеприимство
Ф
Финансы-и-бизнес
П
Питомцы-и-животные
О
Образование
О
Образование-и-коммуникации
0Dasha0Shevelova0
0Dasha0Shevelova0
24.06.2022 08:23 •  Математика

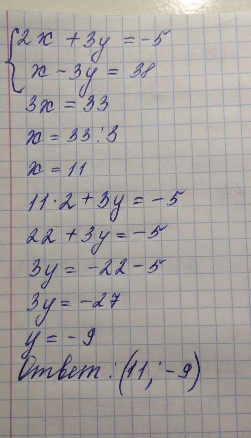
Реши систему сложения. Система состоит
из двух уравнений: 2x+3y =-5
и x-3y=38. ​

👇
Ответ:
laconee97
laconee97
24.06.2022

(11;-9)

Сложим два уравнения первые части с первыми,вторые части со вторыми


Реши систему сложения. Система состоитиз двух уравнений: 2x+3y =-5и x-3y=38. ​
4,5(75 оценок)
Открыть все ответы
Ответ:
мака2007
мака2007
24.06.2022

1)Взаимно простые числа — целые числа, не имеющие никаких общих делителей, кроме ±1. Равносильное определение: целые числа взаимно просты, если их наибольший общий делитель (НОД) равен 1.

объяснение:Натуральные числа a и b называют взаимно простыми, если их наибольший общий делитель равен 1 (НОД(a; b) = 1). Другими словами, если числа a и b не имеют никаких общих делителей, кроме 1, то они взаимно просты. Примеры пар взаимно простых чисел: 2 и 5, 13 и 16, 35 и 88 и т.

2)Числа a и b взаимно просты тогда и только тогда, когда их наибольший общий делитель равен единице. Если а b взаимно-простые числа, то наименьшее общее кратное равно их произведению НОК=a*b.

4,7(99 оценок)
Ответ:
Arhci43345
Arhci43345
24.06.2022
Теңдеуді шешіңдер:0,5х+2,5х-0,68= 1,722. Ұзындығы 28,5 м, ені 14,2 м бірінші тік төртбұрышты жер учаскесінің ауданы ұзындығы 40,47 м екінші жер учаскесінің ауданымен бірдей. Екінші жер учаскесінің енін табыңдар.3. Есептеңдер: 44. Мадинаның 196 тг ақшасы болды. Ол ақшасының -іне 4 дәптер сатып алды. Бір дәптердің бағасы неше теңге?5. Оқушы кітаптың 36 бетін оқығанда, ол кітап беттерінің 12% -ін оқыды. Кітапта барлығы неше бет бар?6. ВОС жазыңқы бұрышының О төбесінен ОD сәулесі жүргізілді. Сонда <ВОD =1250 . DОС бұрыштарының градустық өлшемін тап.1. Теңдеуді шешіңдер:0,8х + 3,5х – 0,75 = 12. Ауданы ұзындығы 7,5 м, ені 3,2 м бірінші бөлменің ауданы ұзындығы 6,4 м бөлменің ауданымен бірдей. Екінші бөлменің енін тап.3. Есептеңдер: 54. Автомобильдің бензин багына жол жүрерден бұрын 45 л бензин құйылды. Ол 250 км жүргенде бактағы бензинніңін шығындалды. Автомобиль 1 км жолға қанша литр бензин шығындады?5. Сыныпта 18 қыз бар. Бұл сыныптағы барлық оқушылардың 60%-і. Сыныпта барлығы неше оқушы бар?6. АОВ жазыңқы бұрышының төбесі арқылы ОС сәулесі жүргізілді. < AOC = 1300 ; СОВ бұрышының градустық өлшемін тап.
4,7(54 оценок)
Это интересно:
Новые ответы от MOGZ: Математика
logo
Вход Регистрация
Что ты хочешь узнать?
Спроси Mozg
Открыть лучший ответ