М
Молодежь
К
Компьютеры-и-электроника
Д
Дом-и-сад
С
Стиль-и-уход-за-собой
П
Праздники-и-традиции
Т
Транспорт
П
Путешествия
С
Семейная-жизнь
Ф
Философия-и-религия
Б
Без категории
М
Мир-работы
Х
Хобби-и-рукоделие
И
Искусство-и-развлечения
В
Взаимоотношения
З
Здоровье
К
Кулинария-и-гостеприимство
Ф
Финансы-и-бизнес
П
Питомцы-и-животные
О
Образование
О
Образование-и-коммуникации
madhinamelinova
madhinamelinova
21.01.2020 23:39 •  Математика

Розв'язати рівняння x²+x/7-x/3=0

👇
Ответ:
мне16
мне16
21.01.2020

0 ; 4/21

Пошаговое объяснение:

x²+x/7-x/3=0

Домножим на 21;

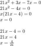
21x^{2} +3x-7x=0\\21x^{2} -4x=0\\x(21x-4)=0\\x=0\\\\21x-4=0\\21x=4\\x=\frac{4}{21}

4,6(6 оценок)
Открыть все ответы
Ответ:
temakurnosov
temakurnosov
21.01.2020

33/65

Пошаговое объяснение:

так как sin(a+b)=sin(a)*cos(b)+sin(b)*cos(a),

то sin(a+b)=

так как:

1) sin (a) = 3/5 (по условию)

2) cos(b) = -5/13  (по условию)

отметим, что так как а принадлежит 2-ой координатной четверти на графике, то sin(a)>0, cos(a)<0, но b принадлежит 3-ей координатной четверти, поэтому sin(b)<0, cos(b)<0

при этом sin(х) ^2 + cos (х) ^2=1

поэтому:

3)  sin(b) ^2 + (-5/13)^2=1

sin(b) ^2+25/169 = 1

sin(b) ^2 = 1 -  25/169

sin(b) ^2 = 144/169 = (12/13)=(-12/13), при этом sin(b)<0

следовательно sin(b) = -12/13

4) cos(a) ^2 + (3/5)^2 = 1

cos(a) ^2 + 9/25 =1

cos(a) ^2 = 1  -  9/25

cos(a) ^2 = 16/25 = (4/5)^2 = (-4/5)^2, при этом cos(a)<0

следовательно cos(a) = -4/5

5) sin(a)*cos(b)+sin(b)*cos(a) =

= (3/5) * (-5/13) + (-12/13) * (-4/5) = -15/65 + 48/65 = (48-15)/65 = 33/65

4,4(45 оценок)
Ответ:
Alina21112001
Alina21112001
21.01.2020

Правило умножения (правило «и») — одно из основных правил комбинаторики. Согласно ему, если элемент A можно выбрать и при любом выборе A элемент B можно выбрать то пару (A, B) можно выбрать Естественным образом обобщается на произвольное количество независимо выбираемых элементов.

Пошаговое объяснение:

Правило умножения (правило «и») — одно из основных правил комбинаторики. Согласно ему, если элемент A можно выбрать и при любом выборе A элемент B можно выбрать то пару (A, B) можно выбрать Естественным образом обобщается на произвольное количество независимо выбираемых элементов.

4,7(64 оценок)
Это интересно:
Новые ответы от MOGZ: Математика
logo
Вход Регистрация
Что ты хочешь узнать?
Спроси Mozg
Открыть лучший ответ