М
Молодежь
К
Компьютеры-и-электроника
Д
Дом-и-сад
С
Стиль-и-уход-за-собой
П
Праздники-и-традиции
Т
Транспорт
П
Путешествия
С
Семейная-жизнь
Ф
Философия-и-религия
Б
Без категории
М
Мир-работы
Х
Хобби-и-рукоделие
И
Искусство-и-развлечения
В
Взаимоотношения
З
Здоровье
К
Кулинария-и-гостеприимство
Ф
Финансы-и-бизнес
П
Питомцы-и-животные
О
Образование
О
Образование-и-коммуникации

При якому значенні т точки А (2т; -3), В (-2; 14) і С(3; 4) лежать на одній прямій?

👇
Ответ:
Артем2090
Артем2090
04.11.2021

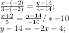
Відповідь:   при t= 3,25  А( 6,5 : -3)

Покрокове пояснення:

складемо рівняння прямої за точками В і С

\frac{x-xB}{xC-xB}= \frac{y-yB}{yC-yB} ;

\frac{x-(-2)}{3-(-2)}=\frac{y-14}{4-14} ; \\\frac{x+2}{5}=\frac{y-14}{-10} /*-10\\\ y-14=-2x-4;\\

y= -2x+10

в це рівняння підставимо координати точки А

-3 = -2* 2t+10;

4t=10+3;

2t=13:2

2t=6,5

t= 3,25

4,7(31 оценок)
Открыть все ответы
Ответ:
ghost133
ghost133
04.11.2021
Медиана - отрезок, соединяющий вершину тр-ка с серединой противолежащей стороны. Пусть сторона равностороннего тр-ка равна Х, тогда её половина= х/2 по теореме Пифагора получаем Х^2=(x/2)^2 +(9корней из трёх)^2  Решаем уравнение: Х^2= X^2/4 + 81*3
                                                                     3/4X^2=243
                                                                       X^2= 243:3/4
                                                                        X^2=324
                                                                         X=18   ответ: сторона тр-ка =18 
4,5(57 оценок)
Ответ:
mashenkalarchenko
mashenkalarchenko
04.11.2021
ОТВЕТ НА ВОПРОС
Мила
Высший разум (761287)
31
Цель джигитовки состоит в развитии в казаке смелости и ловкости, а потому джигитовка необходима для каждого казака.

К обязательной джигитовке относились:
стрельба с коня и рубка чучел
поднимание предметов с земли
подъем на коня пешего товарища
увоз раненого одним или двумя всадниками
соскакивание и вскакивание на коня на карьере.

К упражнениям вольной джигитовки относились:
джигитовка с пикой,
умение положить коня на карьере,
скачка о дву-конь и три-конь, пересадкою с одной лошади на другую,
скачка группами,
скачка стоя,
скачка вниз головою,
переворачивание на карьере лицом назад и скачка сидя задом наперед,
расседлывание коня на скаку.
4,4(48 оценок)
Это интересно:
Новые ответы от MOGZ: Математика
logo
Вход Регистрация
Что ты хочешь узнать?
Спроси Mozg
Открыть лучший ответ