. Для этого выразим "y" затем приравняем левую часть к 0 для того что бы найти точки пересечения с осью ОХ
, а точка пересечения с осью ОУ =6 , я так понял что точки пересечения по осям а и b даны как 6 и 2 , тогда координата точки "а" так и останется , а координату точки b нужно определить , так как она лежит на этой прямой подставим значение
тогда по теореме Пифагора каждую сторону выразить получим систему 
получим y=2 
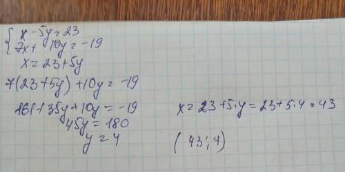
ответ смотри на фотографии