М
Молодежь
К
Компьютеры-и-электроника
Д
Дом-и-сад
С
Стиль-и-уход-за-собой
П
Праздники-и-традиции
Т
Транспорт
П
Путешествия
С
Семейная-жизнь
Ф
Философия-и-религия
Б
Без категории
М
Мир-работы
Х
Хобби-и-рукоделие
И
Искусство-и-развлечения
В
Взаимоотношения
З
Здоровье
К
Кулинария-и-гостеприимство
Ф
Финансы-и-бизнес
П
Питомцы-и-животные
О
Образование
О
Образование-и-коммуникации
Катюха1324
Катюха1324
11.11.2020 15:32 •  Математика

Знайдіть корень квадратного тричлена 9x2-8x-1 ​

👇
Ответ:
динара265
динара265
11.11.2020

1; -1/9

Пошаговое объяснение:​

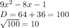
9x^{2} -8x-1\\D=64+36=100\\\sqrt{100} =10

x1=\frac{8+10}{18} =1\\\\x2=\frac{8-10}{18} =-\frac{1}{9}

4,6(12 оценок)
Открыть все ответы
Ответ:

Презентация проекта.

Презентация проекта проходила в кабинете информатики с использованием интерактивной доски. Итоги проекта подводились и обсуждались в течение всей работы над проектом. По окончанию каждого этапа был проведён анализ полученных результатов. Участники проекта были информированы о ходе проекта.

Ожидаемый результат:

- повышение уровня знаний учащихся в области искусства и истории;

-проявление индивидуальности, конкурентно повышение культурного уровня обучающихся;

-обеспечение занятости учащихся во внеурочное время, удовлетворение их потребностей в занятиях по интересам и самовыражении.

4,4(35 оценок)
Ответ:
KindPioneer
KindPioneer
11.11.2020
Гындым    бергэ  чакларны ,  синен,  шук  сузлэрен,не,
 Ямьле  Сабан  туйларында ,  билбауда  корэшен,не.

 Мен,гелеккэ   юлын,   тотып ,  калдырып    хыялларын,
 Яшь   килеш   киттен,   арадан,  озелде   гомерлэрен,
 Башка   курешэлмэгэнгэ,  мэн,гелек   кайгыларым,
 Энем!  Ачы   хэсрэтен,э,   яраланды   йорэгем.

 Синдэ  безне  сагнасын,дыр ,   салкын каберлэрен,дэ,
 Озгэлэнеп  коясен,дер,  сагышлар   хислэрендэ.
 Якты   доньяларга  сине,  кайтарыр   юллар   булса. 
 Гомер   буе  эзлэр   идем ,  эш  миннэн  генэ  торса.

 Кер  эле   тошемэ  энем,  елмаеп  шук   суз   белэн
 Йогрешик  яшь  чактагыдай,  болында   яшел    чирэм
 Сагындыртасын,   узен,не!   Оноттын,мы    уземне?
 Ишет  инде, кукэ  карап, минем  ялварган  сузне.
        (23,07,2011г,)

   

© Copyright: Ямалеев Марс, 2011
 Свидетельство о публикации №11108246002



Мой повзрослевший старший брат
давно не вижу тебя в снах
жив образ твой и песни все звучат
и память  не даёт покоя нам

Я вспоминаю наше детство
каким ты озорным и славным был
батыром непобедимым слыл
"оттуда" лишь не приходят вести

Навеки обозначив путь
оставил на земле мечты
ты смолоду покинул нас
остановилась резко жизнь

Все горести мои о том,
что не увижусь я с тобой
покрылось сердце рваной раной
скорблю я раненный душой

И ты по нам скучаешь верно
в холодной и сырой могиле
тоска, одна тоска, как скверно,
навечно стала нашим чувством

На белый свет вернуть тебя
всю жизнь искал бы этот путь
и если  было в моих силах
не исчезала б моя воля

Приснись же мне, мой дорогой
не откажи моей ты не забываем мы тебя
и ты ведь помнишь обо всех

Нас ждут зелёные луга
родной реки той берега
и голубые небеса
родни любимой голоса...

Услышь меня услышь
мои  молитвы  о  тебе!

Не знаю мы эту тему год назад проходили вот думаю этот стих учебник есть там есть перевод
4,6(66 оценок)
Новые ответы от MOGZ: Математика
logo
Вход Регистрация
Что ты хочешь узнать?
Спроси Mozg
Открыть лучший ответ