М
Молодежь
К
Компьютеры-и-электроника
Д
Дом-и-сад
С
Стиль-и-уход-за-собой
П
Праздники-и-традиции
Т
Транспорт
П
Путешествия
С
Семейная-жизнь
Ф
Философия-и-религия
Б
Без категории
М
Мир-работы
Х
Хобби-и-рукоделие
И
Искусство-и-развлечения
В
Взаимоотношения
З
Здоровье
К
Кулинария-и-гостеприимство
Ф
Финансы-и-бизнес
П
Питомцы-и-животные
О
Образование
О
Образование-и-коммуникации
mileshka890
mileshka890
04.12.2021 11:16 •  Математика

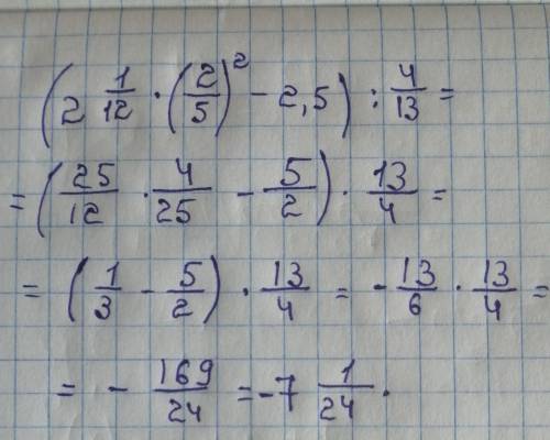
Знайти значення виразу Знайти значення виразу

👇
Ответ:

ответ на фото

Пошаговое объяснение:

=============


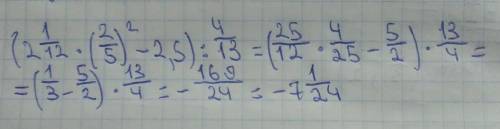
Знайти значення виразу Знайти значення виразу
4,7(37 оценок)
Ответ:
daniar16
daniar16
04.12.2021

Решение предоставлено на фото.


Знайти значення виразу Знайти значення виразу
4,8(7 оценок)
Открыть все ответы
Ответ:
sonyashestakova
sonyashestakova
04.12.2021
 Официант – профессия в сфере общественного питания. В России официанты появились вместе с ресторанами европейского типа, в середине XIX века. В трактирах обязанности официантов выполняли «половые». Мальчики из крестьянских семей обучались этому ремеслу в течение четырех лет, начиная с мойщиков посуды и уборщиков. Интересно, что чаевые сдавались в общую кассу и в конце рабочего дня делились поровну между всеми работниками.
Многие известные мне личности начинали свой трудовой путь именно с профессии официанта. Например, Ален Делон подрабатывал в пивной, Бред Питт – в ресторане быстрого питания.Официант обслуживает посетителей ресторана, кафе, кофейни и других заведений общественного питания. В каждом заведении существуют свои требования к работе персонала. В соответствии с ними официанты приветствуют клиентов, оформляют и сервируют столы согласно заданному по образцу и общепринятому этикету. Кроме этого они носят определенную униформу и часто бейдж с именем. К примеру, существуют рестораны, где обслуживающий персонал перемещается на роликовых коньках. В мире существует несколько ресторанов, в залах которых царит кромешная тьма, поэтому официантам не обойтись без приборов ночного видения.Официант обслуживает посетителей ресторана, кафе, кофейни и других заведений общественного питания. В каждом заведении существуют свои требования к работе персонала. В соответствии с ними официанты приветствуют клиентов, оформляют и сервируют столы согласно заданному по образцу и общепринятому этикету. Кроме этого они носят определенную униформу и часто бейдж с именем. К примеру, существуют рестораны, где обслуживающий персонал перемещается на роликовых коньках. В мире существует несколько ресторанов, в залах которых царит кромешная тьма, поэтому официантам не обойтись без приборов ночного видения.Очень_занятня_профессия_официант,не_такая_она_уж_и_грязная_как_кажется.
4,7(55 оценок)
Ответ:
iambigboy
iambigboy
04.12.2021
8 на 3 не делится а делится 6. Под 8 пишу 6 и делю. Получится 2. Пишу 2 там где ответ. Ищу остаток. 8-6 равно 2. Рядом с двойкой спускаю 1. Получаю 21. 21 на 3 делится. Пишу 21 под 21 и делю. Получилось 7. Пишу 7 там где ответ. Ищу остаток. Остаток 0. Спускаю 1 рядом с 0. Один на 3 не делится. Поэтому в ответ пишу 0. Спускаю 4. 14 на 3 не делится а делится 12. Пишу 12 под 14. И делю получилось 4. Пишу 4 там где ответ. Ищу остаток. 14 минус 12 равно 2. Спускаю 7 рядом с двойкой. Получаю 27. 27 делю на 3. Пишу в ответе 9. 27-27 равно 0. Деление закончено.
4,4(93 оценок)
Это интересно:
Новые ответы от MOGZ: Математика
logo
Вход Регистрация
Что ты хочешь узнать?
Спроси Mozg
Открыть лучший ответ