М
Молодежь
К
Компьютеры-и-электроника
Д
Дом-и-сад
С
Стиль-и-уход-за-собой
П
Праздники-и-традиции
Т
Транспорт
П
Путешествия
С
Семейная-жизнь
Ф
Философия-и-религия
Б
Без категории
М
Мир-работы
Х
Хобби-и-рукоделие
И
Искусство-и-развлечения
В
Взаимоотношения
З
Здоровье
К
Кулинария-и-гостеприимство
Ф
Финансы-и-бизнес
П
Питомцы-и-животные
О
Образование
О
Образование-и-коммуникации
leijlalirva
leijlalirva
17.08.2020 03:41 •  Математика

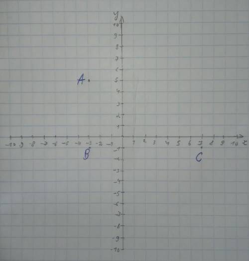
Дано координати трьох вершин прямокутника А(-3;5); В(-3;-1) іС(7;-1)

👇
Ответ:
alina28551
alina28551
17.08.2020

Если я всё правильно понимаю, должно быть так)


 Дано координати трьох вершин прямокутника А(-3;5); В(-3;-1) іС(7;-1)
4,7(43 оценок)
Открыть все ответы
Ответ:
Дашундель
Дашундель
17.08.2020

Начало суток = 00 часов 00 минут. Полные сутки составляют 24 часа. После полудня, т.е. после 12 часов дня, наступает 13 часов, 14 часов и т.д.

1) от начала суток до 3 часа 30 минут дня = от начала суток до 15 часов 30 минут часов 30 минут.

2) от начала суток до 11 часов 15 минут ночи = от начала суток до 23 часов 15 минут часа 15 минут.

3) от начала суток до 10 часов 50 минут вечера = от начала суток до 22 часов 50 минут часа 50 минут.

4) от начала суток до 6 часов 45 минут вечером = от начала суток до 18 часов 45 минут часов 45 минут.

4,7(67 оценок)
Ответ:
jdkdjdjjidjdjd
jdkdjdjjidjdjd
17.08.2020

Начало суток = 00 часов 00 минут. Полные сутки составляют 24 часа. После полудня, т.е. после 12 часов дня, наступает 13 часов, 14 часов и т.д.

1) от начала суток до 3 часа 30 минут дня = от начала суток до 15 часов 30 минут часов 30 минут.

2) от начала суток до 11 часов 15 минут ночи = от начала суток до 23 часов 15 минут часа 15 минут.

3) от начала суток до 10 часов 50 минут вечера = от начала суток до 22 часов 50 минут часа 50 минут.

4) от начала суток до 6 часов 45 минут вечером = от начала суток до 18 часов 45 минут часов 45 минут.

4,7(26 оценок)
Это интересно:
Новые ответы от MOGZ: Математика
logo
Вход Регистрация
Что ты хочешь узнать?
Спроси Mozg
Открыть лучший ответ