М
Молодежь
К
Компьютеры-и-электроника
Д
Дом-и-сад
С
Стиль-и-уход-за-собой
П
Праздники-и-традиции
Т
Транспорт
П
Путешествия
С
Семейная-жизнь
Ф
Философия-и-религия
Б
Без категории
М
Мир-работы
Х
Хобби-и-рукоделие
И
Искусство-и-развлечения
В
Взаимоотношения
З
Здоровье
К
Кулинария-и-гостеприимство
Ф
Финансы-и-бизнес
П
Питомцы-и-животные
О
Образование
О
Образование-и-коммуникации
yukameowym
yukameowym
19.11.2020 15:36 •  Математика

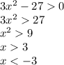
с задание Найдите область определения функции y=lg (3x2-27).

👇
Ответ:
Зте
Зте
19.11.2020

(-∞;-3)∪(3;+∞)

Пошаговое объяснение:

3x^2-270\\3x^227\\x^29\\x3\\x

(-∞;-3)∪(3;+∞)

4,6(8 оценок)
Открыть все ответы
Ответ:
danil3331116
danil3331116
19.11.2020

-7п.по 4кг                                                                                                         использовали-2п.                                                                                                           осталось-?                                                                                                                                                             решение                                                                             7х4=28кг                                                                                                                       2х4=8                                                                                                                           28-8=20кг                                                                                                                     ответ: 20кг осталось

4,7(41 оценок)
Ответ:
Shavelko
Shavelko
19.11.2020

                               Было                 Стало

1-я полка                  7х                    7х - 20

2-я полка                  х                      х + 16

- - - - - - - - - - - - - - - - - - - - - - - - - - - - - - - - - -

Уравнение: 7х - 20 = х + 16

                     7х - х = 16 + 20

                     6х = 36

                     х = 36 : 6

                     х = 6 (кн.) - было на второй полке

7х = 7 · 6 = 42 (кн.) - было на первой полке

Відповідь: 42 книги було на першій полиці і 6 книг було на другій полиці.

4,5(52 оценок)
Новые ответы от MOGZ: Математика
logo
Вход Регистрация
Что ты хочешь узнать?
Спроси Mozg
Открыть лучший ответ