М
Молодежь
К
Компьютеры-и-электроника
Д
Дом-и-сад
С
Стиль-и-уход-за-собой
П
Праздники-и-традиции
Т
Транспорт
П
Путешествия
С
Семейная-жизнь
Ф
Философия-и-религия
Б
Без категории
М
Мир-работы
Х
Хобби-и-рукоделие
И
Искусство-и-развлечения
В
Взаимоотношения
З
Здоровье
К
Кулинария-и-гостеприимство
Ф
Финансы-и-бизнес
П
Питомцы-и-животные
О
Образование
О
Образование-и-коммуникации
erzhankenzhekan
erzhankenzhekan
21.12.2022 14:52 •  Математика

решить При а= п решить При а= п/9 ​ ">

👇
Ответ:
MrtMiyaGi
MrtMiyaGi
21.12.2022

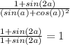
Сначала упростим выражение

\frac{1 + sin(2a)}{(sin(a) + cos(a))^{2} } \\\\\frac{1 + sin(2a)}{1 + sin(2a)} = 1

ответ: 1

4,8(71 оценок)
Открыть все ответы
Ответ:
DEGoP
DEGoP
21.12.2022

ответ:   Ну погнали!

"Любить могут многие, а по- настоящему увидеть любовь может только художник ..."

(М. Светлов)

Однажды критик Николай Александрович Добролюбов сказал: «…для литературы, для самого общества гораздо важнее вопрос о том, на что употребляется, в чем выражается талант художника, нежели то, какие размеры и свойства имеет он в самом себе…»  Именно это высказывание почему-то приходит на память, когда вглядываешься в творческий облик киргизского писателя Чингиза Айтматова. Этому выдающемуся автору в нынешнем году исполняется девяносто лет со дня рождения. И хотя его нет с нами уже десять лет, память о нем и его произведениях будет жить вечно в наших сердцах и умах.

Чингиза Айтматова я для себя открыл совершенно случайно, когда в школьной библиотеке старые бабушки рассказывали о каком то рассказе или сказке. Мне стало интересно, и я попросил дать им то о чем они говорят. Это была повесть «Джамиля». Эту книгу я прочел за один вечер. Это был несравненный,  изящный, поэтический рассказ о любви. Как оказалось впоследствии, это была первая повесть  Айтматова, в которой уже проявилась его яркая творческая индивидуальность, его могучий и радующий сердце талант.

Казалось бы, что нового мог открыть людям в области любви молодой, начинающий литератор, ведь об этом  написано неисчислимое количество книг на всех языках мира? Однако появление в 1956 году повести «Джамиля» произвело эффект разорвавшейся бомбы. Повесть восторженно была встречена широкими кругами читателей и сразу же переведена на многие европейские языки. Критики разных стран находили в этом произведении множество достоинств, и все сходились на том, что «Джамиля» значительно обогатила не только советскую, но и мировую литературу. Эта повесть на сегодняшний день является самым популярным произведением Чингиза Торекуловича на всех языках мира. Только на немецком языке она была переиздана уже 37 раз.

Произведение повествует нам о женщине-бунтарке, которая испытала греховную любовь и впоследствии бросила вызов закостенелым традициям адата, патриархальным обычаям семейно-родового быта, которые складывались еще в древнюю эпоху кочевья.      Долгими столетиями женщина киргизского аила чувствовала себя  неполноценным, униженным и бесправным существом. Она была своего рода необходимая принадлежность домашнего очага, предмет интерьера.  Но пришла в далекий и отсталый среднеазиатский край Великая революция 1917 года – и новая киргизская женщина начинает обретать чувство собственного достоинства, уверенность  в своем праве на полноценную жизнь, на долгожданное счастье. И она готова бороться до последнего за это право, встать против всех традиций и обычаев.

В повести «Джамиля»  показан свободолюбивый женский характер, стремящийся к духовному росту. Традиции адата повелевали женщине быть покорной мужу и свекрови и не оставляли ей никаких прав. Джамиля уважала старших, слушалась их, но никогда не склоняла перед ними голову. Здесь находит свое воплощение  тема раскрепощения женщины и приобщение  её к социальной жизни.

Джамиля – дочь табунщика из горного аила Бакаир.  Ее будущий муж Садык также был табунщиком. Однажды весной, на скачках, он не сумел догнать её. После  такого оскорбления он не нашел ничего лучше, чем похитить красавицу.  Вместе они прожили четыре  месяца. Муж относился к Джамиле бездушно, как к какой-то вещи из домашнего обихода. От такого собственнического отношения в поведении жены начинает сквозить светлая человеческая гордость, искренность чувства, какая-то раскованность.

Такую любовь подарил Джамиле Данияр, пришедший в аил после ранения на фронте. Любовь Данияра настоящая, глубокая, целомудренная, немногословная, изливается в чарующих песнях, которые он поет в степи. Любовь Данияра и Джамили была запретной. Героиня долго терзалась перед принятием главного решения в своей жизни. Не все решения поддаются логике. Сложно рассуждать здраво, когда чувства затмевают сознание, когда ты слушаешь свое сердце, а не разум.  Герои произведения – молодые, чувственные натуры, которые успели настрадаться, которые увидели друг в друге родственные души. И Джамиля смело бросает вызов обветшалым пережиткам и, ломая преграды на пути, покидает родной аил вместе с любимым человеком.

Чингиз Айтматов родился в киргизском аиле в 1928 году. В 1941 году, когда началась Великая Отечественная война, ему было всего 12 лет. Многие мужчины аила ушли на фронт, нужны были рабочие руки. Пятиклассник Чингиз оставляет школу и работает учетчиком комбайнового агрегата и секретарем сельсовета.

Произведения Айтматова близки и понятны не только людям, живущим на разных широтах нашей необъятной с раны. Их перечитывают поляки и итальянцы, англичане и японцы, мексиканцы и вьетнамцы, кубинцы, турки, иранцы, австралийцы.

Жизнь писателя была полна художественными достижениями. Прекрасный человек, у которого был талант, знание жизни и острое ощущение гражданского долга перед народом, перед людьми труда на всей  нашей замечательной планете.

И еще не ври, ты даешь только

Пошаговое объяснение:

4,5(61 оценок)
Ответ:
alinka57d
alinka57d
21.12.2022
Первый пример.
3509 + 45 845 = 49 354;
В примере действие сложение, а значит чтобы сделать проверку, надо сделать вычитание.
49 354 - 45 845 = 3509.
Второй пример.
50 102 - 6945 = 43 157;
В примере действие вычитание, проверяем пример сделав действие сложение.
43 157 + 6945 = 50 102.
Третий пример.
7306 * 4 = 29 224;
В примере действие умножение, а значит проверим его сделав действие деление.
29 224 / 4 = 7306.
Четвертый пример.
87 540 : 6 = 14 590;
В этом примере действие деление, значит проверим его сделав действие умножение.
14 590 * 6 = 87 540
4,5(93 оценок)
Это интересно:
Новые ответы от MOGZ: Математика
logo
Вход Регистрация
Что ты хочешь узнать?
Спроси Mozg
Открыть лучший ответ