М
Молодежь
К
Компьютеры-и-электроника
Д
Дом-и-сад
С
Стиль-и-уход-за-собой
П
Праздники-и-традиции
Т
Транспорт
П
Путешествия
С
Семейная-жизнь
Ф
Философия-и-религия
Б
Без категории
М
Мир-работы
Х
Хобби-и-рукоделие
И
Искусство-и-развлечения
В
Взаимоотношения
З
Здоровье
К
Кулинария-и-гостеприимство
Ф
Финансы-и-бизнес
П
Питомцы-и-животные
О
Образование
О
Образование-и-коммуникации
Katykpoper
Katykpoper
31.12.2020 09:53 •  Математика

ТРУБЫ ГОРЯТ РЕШИТЕ ТРУБЫ ГОРЯТ РЕШИТЕ

👇
Ответ:
Швабу
Швабу
31.12.2020

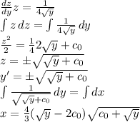
a)

xy'' = y'

z(y) = y'

x(z(y))' = z(y)\\\frac{(z(y))'}{z(y)} = \frac{1}{x}\\\int {\frac{\frac{dz(y)}{dx}}{z(y)}} \, dx = \int {\frac{1}{x}} \, dx\\\int {\frac{1}{z(y)}} \, dz(y) = \int {\frac{1}{x}} \, dx\\\ln z(y) = \ln x + c_0 \\\\z(y) = e^{c_0} x = 2c_1 x, \qquad (e^{c_0} = 2c_1)\\y' = 2c_1 x\\\int dy = \int 2c_1x \, dx\\y = c_1 x^2 + c_2

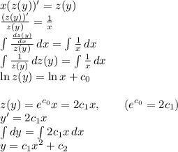
b)

y'' = \frac{1}{4\sqrt{y}}

z(y) = y', \quad y'' = (z(y))' = z'(y) y' = z' z

\frac{dz}{dy} z = \frac{1}{4\sqrt{y}}\\\int {z} \, dz = \int {\frac{1}{4\sqrt{y}}} \, dy \\\frac{z^2}{2} = \frac14 2\sqrt{y} + c_0\\z = \pm \sqrt{\sqrt{y} + c_0}\\y' = \pm \sqrt{\sqrt{y} + c_0}\\\int \frac{1}{\sqrt{\sqrt{y} + c_0}} \, dy = \int dx\\x = \frac43 (\sqrt{y} - 2c_0) \sqrt{c_0 + \sqrt{y}}

Тут явно y не выразить.

4,4(36 оценок)
Открыть все ответы
Ответ:
Shahi95
Shahi95
31.12.2020

1 5  + 99.4 =   1 5  + 99  4 10  = 99 +   1 5  +   4 10  = 99 +   1 · 2 5 · 2  +   4 · 1 10 · 1  = 99 +   2 10  +   4 10  = 99 +   2 + 4 10  = 99 +   6 10  = 99 +   3 · 2 5 · 2  = 99 +   3 5  = 99  3 5  = 99.6

99  3 5  + 7.3 = 99  3 5  + 7  3 10  = 106 +   3 5  +   3 10  = 106 +   3 · 2 5 · 2  +   3 · 1 10 · 1  = 106 +   6 10  +   3 10  = 106 +   6 + 3 10  = 106 +   9 10  = 106  9 10  = 106.9

106  9 10  - (-25.69) = 106  9 10  + 25.69 = 106  9 10  + 25  69 100  = 131 +   9 10  +   69 100  = 131 +   9 · 10 10 · 10  +   69 · 1 100 · 1  = 131 +   90 100  +   69 100  = 131 +   90 + 69 100  = 131 +   159 100  = 131 +   1·100 + 59 100  = 132  59 100  = 132.59

132  59 100  + 3.548 = 132  59 100  + 3  548 1000  = 135 +   59 100  +   548 1000  = 135 +   59 · 10 100 · 10  +   548 · 1 1000 · 1  = 135 +   590 1000  +   548 1000  = 135 +   590 + 548 1000  = 135 +   1138 1000  = 135 +   569 · 2 500 · 2  = 135 +   569 500  = 135 +   1·500 + 69 500  = 136  69 500  = 136.138

4,7(38 оценок)
Ответ:
sasulencijaozq7jr
sasulencijaozq7jr
31.12.2020

Если точки были отмечены на числовой прямой, то расположение точек зависит от нахождения координаты буквы С

Значит если С > В, то это прямая АВС

Если В>С>А, то АСВ,

Если С<А, то САВ

Координату точки первого варианта можно найти, поскольку точка С симметрична относительно точки В

В(24)-А(6)=С(х)-В(24)

С(х) =42

Поскольку АС=2ВС, значит, что АВ=ВС.

Координату точки второго случая, можно найти используя формулу из условия

АС=х-6

ВС=2*(24-х)

Отсюда х равен:

х-6=48-2х

х=18

Координату точки последнего случая найти невозможно, поскольку отрезок ВС больше отрезка АС, а значит равенство Условия не выполняется,

К примеру, если ВС=6, то АС=12, но поскольку С находится слева, то ВС>АС, но это не так...

Значит: сумма возможных х равна 18+42=60

ответ:60

4,7(36 оценок)
Новые ответы от MOGZ: Математика
logo
Вход Регистрация
Что ты хочешь узнать?
Спроси Mozg
Открыть лучший ответ