М
Молодежь
К
Компьютеры-и-электроника
Д
Дом-и-сад
С
Стиль-и-уход-за-собой
П
Праздники-и-традиции
Т
Транспорт
П
Путешествия
С
Семейная-жизнь
Ф
Философия-и-религия
Б
Без категории
М
Мир-работы
Х
Хобби-и-рукоделие
И
Искусство-и-развлечения
В
Взаимоотношения
З
Здоровье
К
Кулинария-и-гостеприимство
Ф
Финансы-и-бизнес
П
Питомцы-и-животные
О
Образование
О
Образование-и-коммуникации
krmax2002p0bwab
krmax2002p0bwab
30.01.2021 07:36 •  Математика

Определи значения остальных тригонометрических функций,
если tg t=−3/4;
π2 < t < π
sin t = ?

cos t = ?

ctg t =?

👇
Ответ:
KateySh
KateySh
30.01.2021

ctgt=-\frac{4}{3}\\cost=-\frac{4}{5} \\sint=\frac{3}{5}

Пошаговое объяснение:

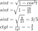
Используем формулу

1+tg^{2}t= \frac{1}{cos^2t} \\cos^2t=\frac{1}{1+tg^{2}t} \\cos^2t=\frac{1}{1+(\frac{-3}{4})^2 } = \frac{16}{25}\\ cost=\sqrt{\frac{16}{25} } \\ cost=-\frac{4}{5}

Знак "-",т.к. t>π/2 и t<π, во 2-й четверти косинус отрицательный, синус положительный.

sint=\sqrt{1-cos^2t} \\sint=\sqrt[]{1-\frac{16}{25} } \\sint=\sqrt{\frac{9}{25} } =3/5\\ctgt=\frac{1}{tgt} =-\frac{4}{3}

4,6(28 оценок)
Ответ:
VIktoriafedornak
VIktoriafedornak
30.01.2021

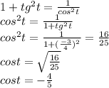
tg t=−3/4;

π/2< t < π- угол второй четверти. Надеюсь, там просто опечаткa

cos t = -(√1/(1+tg²t))=-1/√(1+9/16)=-4/5

sin t = √(1-cos²t)=√(1-16/25)=3/5

ctg t =-4/3

4,7(38 оценок)
Открыть все ответы
Ответ:
nastyamashkanc
nastyamashkanc
30.01.2021

Средние вагоны поезда из 18 вагонов - это девятый и десятый.

Обозначим количество пассажиров в вагонах  В₁, В₂,..., В₁₇, В₁₈.

В₁ + В₂ + В₃ + В₄ + В₅ = 199

       В₂ + В₃ + В₄ + В₅ + В₆ = 199

                В₃ + В₄ + В₅ + В₆ + В₇ = 199   и т.д.

Так как в 5 последовательных вагонах количество пассажиров постоянно, то убирая один вагон, добавить можно только вагон с таким же количеством пассажиров. Тогда

В₁ = В₆ = В₁₁ = В₁₆;      В₂ = В₇ = В₁₂ = В₁₇;    В₃ = В₈ = В₁₃ = В₁₈

В₄ = В₉ = В₁₄;        В₅ = В₁₀ = В₁₅.

По условию

В₁ + В₂ + В₃ + ... + В₁₆ + В₁₇ + В₁₈ = 700   или

4В₆ + 4В₇ + 4В₈ + 3В₉ + 3В₁₀ = 700

4(В₆ + В₇ + В₈ + В₉ + В₁₀) - В₉ - В₁₀ =700

4 · 199 - В₉ - В₁₀ =700

796 - 700 = В₉ + В₁₀

В₉ + В₁₀ = 96

ответ : Д) 96

4,8(10 оценок)
Ответ:
Dataxxx
Dataxxx
30.01.2021

Средние вагоны поезда из 18 вагонов - это девятый и десятый.

Обозначим количество пассажиров в вагонах  В₁, В₂,..., В₁₇, В₁₈.

В₁ + В₂ + В₃ + В₄ + В₅ = 199

      В₂ + В₃ + В₄ + В₅ + В₆ = 199

              В₃ + В₄ + В₅ + В₆ + В₇ = 199

                      В₄ + В₅ + В₆ + В₇ + В₈ = 199   и т.д.

Так как в 5 последовательных вагонах количество пассажиров постоянно, то убирая один вагон, добавить можно только вагон с таким же количеством пассажиров. Тогда

В₁ = В₆ = В₁₁ = В₁₆;      В₂ = В₇ = В₁₂ = В₁₇;    В₃ = В₈ = В₁₃ = В₁₈

В₄ = В₉ = В₁₄;        В₅ = В₁₀ = В₁₅.

По условию

В₁ + В₂ + В₃ + ... + В₁₆ + В₁₇ + В₁₈ = 700   или

4В₆ + 4В₇ + 4В₈ + 3В₉ + 3В₁₀ = 700

4(В₆ + В₇ + В₈ + В₉ + В₁₀) - В₉ - В₁₀ =700

4 · 199 - В₉ - В₁₀ =700

796 - 700 = В₉ + В₁₀

В₉ + В₁₀ = 96

ответ : А) 96

4,4(66 оценок)
Новые ответы от MOGZ: Математика
logo
Вход Регистрация
Что ты хочешь узнать?
Спроси Mozg
Открыть лучший ответ