М
Молодежь
К
Компьютеры-и-электроника
Д
Дом-и-сад
С
Стиль-и-уход-за-собой
П
Праздники-и-традиции
Т
Транспорт
П
Путешествия
С
Семейная-жизнь
Ф
Философия-и-религия
Б
Без категории
М
Мир-работы
Х
Хобби-и-рукоделие
И
Искусство-и-развлечения
В
Взаимоотношения
З
Здоровье
К
Кулинария-и-гостеприимство
Ф
Финансы-и-бизнес
П
Питомцы-и-животные
О
Образование
О
Образование-и-коммуникации
stentani97
stentani97
21.11.2022 10:43 •  Математика

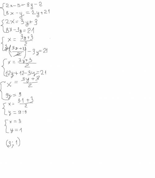
Решите систему уравнений
{2x-5=3y-2
8x-y=2y+21

👇
Ответ:
Iulia1988
Iulia1988
21.11.2022

х=3, у=1

Пошаговое объяснение:

первое уравнение  2х-3=3у

Второе уравнение перепишем так:

8х-21=3у и вычтем из него  первое

6х-18=0

6х=18

х=3

подставим в первое:

2*3-3=3у

у=1

4,4(72 оценок)
Ответ:
привет888
привет888
21.11.2022

(3;1)

Пошаговое объяснение:


Решите систему уравнений {2x-5=3y-2 8x-y=2y+21​
4,7(61 оценок)
Открыть все ответы
Ответ:
sofyadeeva
sofyadeeva
21.11.2022

Пошаговое объяснение:

1.

1) НОД (108; 72)=2·2·3·3=4·9=36

108=2·2·3·3·3; 72=2·2·2·3·3

Общие множители чисел: 2; 2; 3; 3

2) НОК (36; 48)=2·2·2·2·3·3=16·9=144

48=2·2·2·2·3

36=2·2·3·3

2.

1) x÷0,6=25÷3; (5x)/3=25/3; 5x=25; x=25/5=5

2) 5÷3=5÷x; 1/3=1/x; x=3

3.

1) 3,2·(-6)=16/5 ·(-6)=-96/5=-19,2

2) (-3,4+7)·(-1)=3,6·(-1)=-3,6

4.

2) 0,3(8-3x)=3,2-0,8(x-7)

2,4-0,9x=3,2-0,8x+5,6

2,4-0,9x=8,8-0,8x

0,9x-0,8x=2,4-8,8

0,1x=-6,4

x=-64

3) 2(8x-7)=18-4(5-4x)     |2

8x-7=9-10+8x

8x-7=8x-1

8x-8x=7-1

0≠6

Данное уравнение не имеет решений.

5) 3-|x|=-1

|x|=3+1

|x|=4

x₁=-4; x₂=4

Остальное нужно исправить для дальнейшего решения.

4,5(26 оценок)
Ответ:
SoniaSor
SoniaSor
21.11.2022

Пошаговое объяснение:

1.

1) НОД (108; 72)=2·2·3·3=4·9=36

108=2·2·3·3·3; 72=2·2·2·3·3

Общие множители чисел: 2; 2; 3; 3

2) НОК (36; 48)=2·2·2·2·3·3=16·9=144

48=2·2·2·2·3

36=2·2·3·3

2.

1) x÷0,6=25÷3; (5x)/3=25/3; 5x=25; x=25/5=5

2) 5÷3=5÷x; 1/3=1/x; x=3

3.

1) 3,2·(-6)=16/5 ·(-6)=-96/5=-19,2

2) (-3,4+7)·(-1)=3,6·(-1)=-3,6

4.

2) 0,3(8-3x)=3,2-0,8(x-7)

2,4-0,9x=3,2-0,8x+5,6

2,4-0,9x=8,8-0,8x

0,9x-0,8x=2,4-8,8

0,1x=-6,4

x=-64

3) 2(8x-7)=18-4(5-4x)     |2

8x-7=9-10+8x

8x-7=8x-1

8x-8x=7-1

0≠6

Данное уравнение не имеет решений.

5) 3-|x|=-1

|x|=3+1

|x|=4

x₁=-4; x₂=4

Остальное нужно исправить для дальнейшего решения.

4,8(78 оценок)
Это интересно:
Новые ответы от MOGZ: Математика
logo
Вход Регистрация
Что ты хочешь узнать?
Спроси Mozg
Открыть лучший ответ