М
Молодежь
К
Компьютеры-и-электроника
Д
Дом-и-сад
С
Стиль-и-уход-за-собой
П
Праздники-и-традиции
Т
Транспорт
П
Путешествия
С
Семейная-жизнь
Ф
Философия-и-религия
Б
Без категории
М
Мир-работы
Х
Хобби-и-рукоделие
И
Искусство-и-развлечения
В
Взаимоотношения
З
Здоровье
К
Кулинария-и-гостеприимство
Ф
Финансы-и-бизнес
П
Питомцы-и-животные
О
Образование
О
Образование-и-коммуникации
bokkvika2908
bokkvika2908
30.03.2022 09:48 •  Математика

Найдите площадь трапеции, вершины которой имеют координаты (1;2) (2;4) (2;10) (1;13)

👇
Ответ:
Giuz
Giuz
30.03.2022

Пошаговое объяснение:

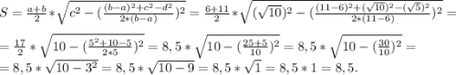
A(1;2)   B(2;4)   C(2;10)   D(1;13).

Найдём длины сторон трапеции:

AB=\sqrt{(1-2)^2+(2-4)^2}=\sqrt{(-1)^2+(-2)^2}=\sqrt{1+4}=\sqrt{5}.\\BC=\sqrt{(2-2)^2+(4-10)^2}=\sqrt{(0^2+(-6)^2} =\sqrt{36}=6.\\ CD=\sqrt{((2-1)^2+(10-13)^2}=\sqrt{1^2+(-3)^2}=\sqrt{1+9}=\sqrt{10}.\\ AD=\sqrt{(1-1)^2+(2-13)^2} =\sqrt{0^2+(-11)^2}=\sqrt{121}=11.

Пусть BC=a, AD=b, CD=c, AB=d.    ⇒

S=\frac{a+b}{2} *\sqrt{c^2-(\frac{(b-a)^2+c^2-d^2}{2*(b-a) })^2} =\frac{6+11}{2} *\sqrt{(\sqrt{10})^2-(\frac{(11-6)^2+(\sqrt{10})^2-(\sqrt{5})^2 }{2*(11-6)} )^2}=\\=\frac{17}{2}*\sqrt{10-(\frac{5^2+10-5}{2*5})^2 } =8,5*\sqrt{10-(\frac{25+5}{10})^2 } =8,5*\sqrt{10-(\frac{30}{10})^2 } =\\=8,5*\sqrt{10-3^2}=8,5*\sqrt{10-9}=8,5*\sqrt{1}=8,5*1=8,5.

ответ: S=8,5.


Найдите площадь трапеции, вершины которой имеют координаты (1;2) (2;4) (2;10) (1;13)
4,6(77 оценок)
Ответ:
Allison5
Allison5
30.03.2022

9

Пошаговое объяснение:

см. рис.

отмечаем точки на координатной плоскости - видим, что за трапеция

определяем высоту и длины оснований

высота = 2-1 = 1

AD = 12

BC = 6

(AD+BC)/2 = 9

S = 9 * 1 = 9

прим.: и не надо мне тут рассказывать за рассчеты. задавайте координаты покривее - буду считать (вернее: не буду считать (мне это скучно), всякие там проверки на параллельность и прочее)

4,8(94 оценок)
Открыть все ответы
Ответ:
vika1852
vika1852
30.03.2022
Х:673=12                                                                               673
х=673*12                                                                               12
х=3819                                                                                 3146
ответ:х=3819                                                                         673
 2184:х=36                                                                             3819
 х=
 х=                                                                                   
 ответ:х= а у этого опечатка
                                                                   
                                                                                       
4,4(6 оценок)
Ответ:
мария2300
мария2300
30.03.2022
1день=40%всей книги
2день=60% от остального
3день =144 стр

С конца задачи
2 день остаток 100%
1)) 100%-60%= 40% это 144стр
2)) 144:40•100= 360 стр был остаток на 2 день и это
3)) 100-40=60%
4)) 360:60•100= 600стр было

ответ: в книге 600 страниц

Второе решение
Пропорцией
Х--было страниц во 2 день= 100%
Прочитал 60%
Осталось 100%-60%=40%

Х100%
144---40%
Х=144•100%/40%
Х=144•1/0,4=360стр было во второй день это
100%-40%=60%

Х---100%
360---60%
Х=360•100%/60%
Х=360•1/0,6= 600 стр

ответ: в книге было 600 страниц

Уравнением
Х=всего страниц
40%х=1день =0,4х
(100%-40%)Х•60%=0,36х второй день
144стр=3день

Х=0,4х+0,36х+144
Х-0,4х-0,36х=144
0,24х=144
Х= 144:0,24
Х=600 страниц

ответ: в книге 600 страниц
4,7(28 оценок)
Новые ответы от MOGZ: Математика
logo
Вход Регистрация
Что ты хочешь узнать?
Спроси Mozg
Открыть лучший ответ