М
Молодежь
К
Компьютеры-и-электроника
Д
Дом-и-сад
С
Стиль-и-уход-за-собой
П
Праздники-и-традиции
Т
Транспорт
П
Путешествия
С
Семейная-жизнь
Ф
Философия-и-религия
Б
Без категории
М
Мир-работы
Х
Хобби-и-рукоделие
И
Искусство-и-развлечения
В
Взаимоотношения
З
Здоровье
К
Кулинария-и-гостеприимство
Ф
Финансы-и-бизнес
П
Питомцы-и-животные
О
Образование
О
Образование-и-коммуникации
NIKTENKOELENA70
NIKTENKOELENA70
23.12.2022 13:57 •  Математика

Знайти значення тригонометричної функції
Sin x, якщо відомо cos x=0.8; 0

👇
Ответ:
Kiska41384
Kiska41384
23.12.2022

Пошаговое объяснение:

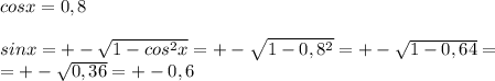
cosx=0,8\\\\sinx=+ -\sqrt{1-cos^{2}x } =+ -\sqrt{1-0,8^2} =+ -\sqrt{1-0,64} =\\=+ -\sqrt{0,36} =+-0,6\\

sinx=0,6  ( I и  II ) в координатной оси

sinx= -0,6( III и  IV) к.оси

4,8(33 оценок)
Ответ:
samprosto02
samprosto02
23.12.2022

Відповідь:sinx=0,6 або sinx=-0,6

Покрокове пояснення:

через основне тригонометричне тождество

sin²x+ cos²x=1

sin²x=1-cos²x=1-0.64=0.36

sinx=0,6 або sinx=-0,6

щоб знати точно- треба всю умову завдання( інтервал)

4,5(87 оценок)
Открыть все ответы
Ответ:
leiylacan1
leiylacan1
23.12.2022

сложение и вычитание.

здесь нужно работать по одному принципу, просто приводишь дроби к общему знаменателю, к наименьшему общему кратному. при приведении дробей к общему знаменателю тебе нужно умножать и числитель, и знаменатель, это важно.

например 2/3 + 3/6

в нашем случае знаменатели - 3 и 6, шесть является наименьшим общим кратным, поэтому, вторую дробь мы не трогаем, а домнодаем до 6 первую, то есть умножаем на 2. 2/3 *2 (умножаем обе части дроби) = 4/6, выходит 4/6 + 3/6 = 7/6 здесь ещё можно будет выделить целую часть (если числитель больше знаменателя, смотрим сколько знаменателей есть в числителе, ну или можно просто разделить числитель на знаменатель) и получаем 1 1/6

бывают случаи, когда знаменатель одной дроби не является наименьшим общим кратным, тогда в этом случае мы домножаем обе дроби, например 2/3 + 2/4

находим наименьшее общее кратное, умножая больший знаменатель (4*2=8 8 на 3 не делится, значит не подходит, 4*3=12 12 на 3 делится, значит мы нашли наше наименьшее общее кратное), теперь домножаем оба знаменателя до 12 2/3 домножаем на 4, получаем 8/12, 2/4 домножаем на 3, получаем 6/12

в итоге 8/12 + 6/12 = 14/12 здесь тоже можно выделить целую часть и получаем 1 2/12, сокращаем — 1 1/6

с вычитанием ситуация идентичная

умножение

здесь просто перемножают числитель на числитель и знаменатель на знаменатель

например 3/4 * 5/6 = 15/24

чем больше тренироваться, тем получаться будет лучше

деление

при делении повторяется принцип умножения

например, нам надо 3/5 : 6/4

ВСЕГДА ПЕРЕВОРАЧИВАЕМ вторую дробь и ЗАМЕНЯЕМ деление на умножение

получаем 3/5 * 4/6 = (повторяем те же действия, что и при умножении) 12/30

смешанные дроби

все действия со смешанным дробями начинаются с того, что мы делаем их них неправильную дробь (действие, обратное выделению целой части, то есть то, что мы делали на примере сложении и вычитании)

например, нам нужно 1 2/3 + 3 3/4

чтобы превратит смешанную дробь в неправильную нужно целую часть умножить на знаменатель и прибавить к этому числитель, то есть (на примере дроби выше) 1 умножаем на 3 и прибавляем к этому два, получается 5 - это ЧИСЛИТЕЛЬ нашей неправильной дроби, ЗНАМЕНАТЕЛЬ пишем ПРЕЖНИЙ, то есть получается 5/3

со второй дробью то же самое: 3 умножаем на четыре и прибавляем 3, выходит 15 в числителе и 4 в знаменателе 15/4

возвращаемся к примеру 5/3 + 15/4 (общий знаменатель 12, как и в случае, домножаем дроби) 5/3 на 4 и 15/4 на 3, получается 20/12 + 45/12 = 65/12 = (выделяем целую часть) 5 5/12

а так все те же самые махинации, что и с обычными дробями.

4,6(44 оценок)
Ответ:
alenalapshna2
alenalapshna2
23.12.2022
Пусть вместимость целой кастрюли 1, тогда суммарная вместимость 3-х кружек составляет 0,5 кастрюли, вместимость 1 кружки 0,5/3=5/10 : 3 = 1/2 : 3 = 1/6 кастрюли.
По условию задачи, компот разлили по 4 кружкам и такому же количеству чашек, т.е по 4 чашкам.
В 4 кружки поместилось 1/6 * 4 = 4/6 = 2/3 кастрюли.
Оставшийся объем разлит по чашкам:
1  - 2/3 = 3/3 - 2/3 = 1/3 кастрюли
Узнаем объем 1 чашки:
1/3 : 4 = 1/12 кастрюли.
Таким образом, 1 чашка составляет 1/12 объема кастрюли, всего объем кастрюли соответствует 12 чашкам.
Сделаем проверку:
4 * 1/6 + 4*1/12 = 4/6 + 4/12 = 2/3 + 1/3 = 3/3 = 1 кастрюля
ответ: 1 кастрюля соответсвует 12 чашкам.
4,4(52 оценок)
Это интересно:
Новые ответы от MOGZ: Математика
logo
Вход Регистрация
Что ты хочешь узнать?
Спроси Mozg
Открыть лучший ответ