М
Молодежь
К
Компьютеры-и-электроника
Д
Дом-и-сад
С
Стиль-и-уход-за-собой
П
Праздники-и-традиции
Т
Транспорт
П
Путешествия
С
Семейная-жизнь
Ф
Философия-и-религия
Б
Без категории
М
Мир-работы
Х
Хобби-и-рукоделие
И
Искусство-и-развлечения
В
Взаимоотношения
З
Здоровье
К
Кулинария-и-гостеприимство
Ф
Финансы-и-бизнес
П
Питомцы-и-животные
О
Образование
О
Образование-и-коммуникации
Юлья0000000
Юлья0000000
14.03.2023 13:49 •  Математика

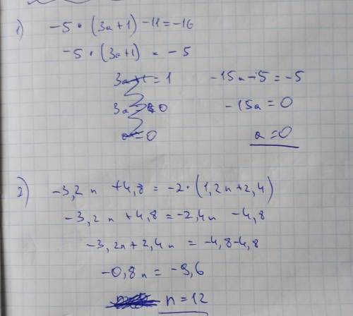
Решить: -5×(3a+1)-11=-16 -3,2n+4,8=-2×(1,2n+2,4) -5×(0,8z-1,2)=-z+7,2

👇
Ответ:
nipogodin
nipogodin
14.03.2023


Решить: -5×(3a+1)-11=-16 -3,2n+4,8=-2×(1,2n+2,4) -5×(0,8z-1,2)=-z+7,2
4,8(15 оценок)
Ответ:
diiii2
diiii2
14.03.2023

-5×(3a+1)-11=-16

-15а-5-11=-16

-15а-16=-16( сокращаем равные числа)

-15а=0

а=0

4,4(9 оценок)
Открыть все ответы
Ответ:

364 кг

Пошаговое объяснение:

Расход=100м^2=2кг семян

Расход= Участок длина=60м; Ширина=20м=? Семян

Урожай= 100м^2=? Семян в 16р> чем расход;

Урожай участка дл=60м;

шир =20м=? Семян в 16р> чем расход

Первое решение

1)) 60•20=1200м^2 участок

2)) 1200:100=12 раз больше чем 100м^2

3)) 12•2=24 кг надо на посев

4)) 24•16= 384 кг можно собрать

ответ: с участка можно собрать 384 кг семян

Второе решение

1кг=1000г

2кг=2•1000=2000г

1)) 2000г: 100м^2= 20г/м^2 расходуется на посев

2)) 20г•16= 320г собирают с 1 м^2 урожая

3)) 60•20= 1200м^2 участок

4)) 320•1200= 384000 кг собирают с участка урожая

384000г=384000:1000=384кг

ответ: можно собрать 384 кг семян с участка

Третье решение

100м^2=1ар= 1сотка

1)) 60•20=1200м^2 площадь участка

Переводим

1200м^2= 1200:100= 12ар

2)) 12•2=24кг надо на посев

3)) 24•16= 384 кг семян соберут

ответ: собрать можно 384кг семян

4 решение пропорцией

60•20=1200м^2 площадь участка

2•16=32кг собирают с 100м^2

Х-семен соберут

100м^232кг

1200м^2Х

Х=1200•32/100

Х=12•32

Х= 384 кг соберут семян

ответ: собрать можно 384кг семян

ВТОРАЯ ЗАДАЧА

км/час скорость удаления вертолетов                             420*3=1260 км расстояния будет между ними через 3 часа км пролетит 1 вертолет                                                       240*3=720 км пролетит 2 вертолет                                                  540+720=1260 км расстояния через 3 часа

Удачи!

4,4(95 оценок)
Ответ:
vip360842
vip360842
14.03.2023

Расход=100м^2=2кг семян

Расход= Участок длина=60м; Ширина=20м=? Семян

Урожай= 100м^2=? Семян в 16р> чем расход;

Урожай участка дл=60м;

шир =20м=? Семян в 16р> чем расход

Первое решение

1)) 60•20=1200м^2 участок

2)) 1200:100=12 раз больше чем 100м^2

3)) 12•2=24 кг надо на посев

4)) 24•16= 384 кг можно собрать

ответ: с участка можно собрать 384 кг семян

Второе решение

1кг=1000г

2кг=2•1000=2000г

1)) 2000г: 100м^2= 20г/м^2 расходуется на посев

2)) 20г•16= 320г собирают с 1 м^2 урожая

3)) 60•20= 1200м^2 участок

4)) 320•1200= 384000 кг собирают с участка урожая

384000г=384000:1000=384кг

ответ: можно собрать 384 кг семян с участка

Третье решение

100м^2=1ар= 1сотка

1)) 60•20=1200м^2 площадь участка

Переводим

1200м^2= 1200:100= 12ар

2)) 12•2=24кг надо на посев

3)) 24•16= 384 кг семян соберут

ответ: собрать можно 384кг семян

4 решение пропорцией

60•20=1200м^2 площадь участка

2•16=32кг собирают с 100м^2

Х-семян соберут

100м^232кг

1200м^2Х

Х=1200•32/100

Х=12•32

Х= 384 кг соберут семян

ответ: собрать можно 384кг семян

Подро

Пошаговое объяснение:

Это первая задача

4,4(35 оценок)
Новые ответы от MOGZ: Математика
logo
Вход Регистрация
Что ты хочешь узнать?
Спроси Mozg
Открыть лучший ответ