М
Молодежь
К
Компьютеры-и-электроника
Д
Дом-и-сад
С
Стиль-и-уход-за-собой
П
Праздники-и-традиции
Т
Транспорт
П
Путешествия
С
Семейная-жизнь
Ф
Философия-и-религия
Б
Без категории
М
Мир-работы
Х
Хобби-и-рукоделие
И
Искусство-и-развлечения
В
Взаимоотношения
З
Здоровье
К
Кулинария-и-гостеприимство
Ф
Финансы-и-бизнес
П
Питомцы-и-животные
О
Образование
О
Образование-и-коммуникации
olgaocher
olgaocher
31.12.2020 14:53 •  Математика

Вычислить cos a если зачача


Вычислить cos a если зачача

👇
Ответ:
Amerilove57
Amerilove57
31.12.2020

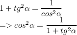
ctg a=15/8

1+tg^2a=1/cos^2a

cos^2a=1/(1+64/225)=1/289/225=225/289

cos a= -15/17

Пошаговое объяснение:

cos a= -15/17, потому что a находится в третьей четверти.

4,4(53 оценок)
Ответ:
karalina200215
karalina200215
31.12.2020

-\dfrac{15}{17}

Пошаговое объяснение:

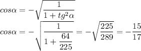
1+tg^2\alpha=\dfrac{1}{cos^2\alpha}\\=cos^2\alpha=\dfrac{1}{1+tg^2\alpha}

Т.к. \pi, то:

cos\alpha=-\sqrt{\dfrac{1}{1+tg^2\alpha}}\\cos\alpha=-\sqrt{\dfrac{1}{1+\dfrac{64}{225}}}=-\sqrt{\dfrac{225}{289}}=-\dfrac{15}{17}

Задача решена!

4,8(30 оценок)
Открыть все ответы
Ответ:
fkghdk
fkghdk
31.12.2020
Рассмотрим четырехугольник MBKD. В нем два противоположных угла прямые по условию, а угол МDК равен 60 гр. Можно легко найти угол АВС. Он равен 120 гр . Следовательно находим уголы А и С параллелограмма. Они равны 60 гр.
Рассмотрим треугольник DКС - он прямоугольный по условию, и угол С равен 60 гр. Следовательно угол СDК равен 30 гр. КС есть катет, лежащий против угла в 30 гр., следовательно он равен половине гипотенузы, т.е. СD. Таким образом мы находим вторую сторону параллелограмма 2V3/2=V3 (V - знак корня). У нас есть две стороны параллелограмма ВС=4V3+2V3=6V3 и СD=V3 и угол между ними, равный 60 гр.
Площадь параллелограмма равна произведению сторон на синус угла между ними. Найдем площадь, зная, что sin60=V3/2.
S=6V3*V3*V3/2=9V3.
4,4(65 оценок)
Ответ:
maririz405
maririz405
31.12.2020
1 ц = 100 кг
4 ц 20 кг = (4 * 100) кг + 20 кг = 420 кг
          
                   Масса 1 мешка      Кол-во мешков     Общая масса
Пшеница        одинаковая                 24 шт.              ? на 420 кг >
Рожь               одинаковая                 18 шт.                       ?
   
1) 24 - 18 = 6 (шт.) - на столько больше мешков с пшеницей;
2) 420 : 6 = 70 (кг) - масса одного мешка;
3) 24 * 70 = 1680 кг = 16 ц 80 кг - столько смололи пшеницы;
4) 18 * 70 = 1260 кг = 12 ц 60 кг - столько смололи ржи.
Вiдповiдь: змололи 16 ц 80 кг пшеницi та 12 ц 60 кг жита.
4,7(4 оценок)
Это интересно:
Новые ответы от MOGZ: Математика
logo
Вход Регистрация
Что ты хочешь узнать?
Спроси Mozg
Открыть лучший ответ