М
Молодежь
К
Компьютеры-и-электроника
Д
Дом-и-сад
С
Стиль-и-уход-за-собой
П
Праздники-и-традиции
Т
Транспорт
П
Путешествия
С
Семейная-жизнь
Ф
Философия-и-религия
Б
Без категории
М
Мир-работы
Х
Хобби-и-рукоделие
И
Искусство-и-развлечения
В
Взаимоотношения
З
Здоровье
К
Кулинария-и-гостеприимство
Ф
Финансы-и-бизнес
П
Питомцы-и-животные
О
Образование
О
Образование-и-коммуникации

Решите примеры.

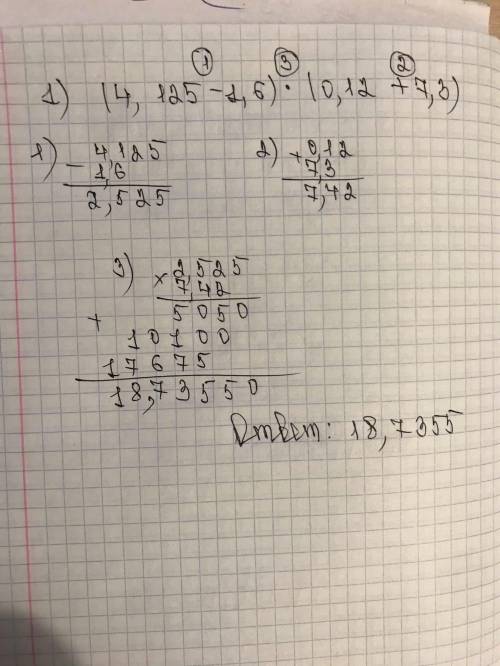
1. (4,125 – 1,6) • (0,12 +7,3)
2. (139-23,48) : 38 + 4,35 • 18

👇
Ответ:
Floren255
Floren255
25.08.2021

Смотри вложение.................


Решите примеры. 1. (4,125 – 1,6) • (0,12 +7,3) 2. (139-23,48) : 38 + 4,35 • 18
Решите примеры. 1. (4,125 – 1,6) • (0,12 +7,3) 2. (139-23,48) : 38 + 4,35 • 18
4,5(26 оценок)
Открыть все ответы
Ответ:
vik5611
vik5611
25.08.2021

36 | 2                                         54 | 2

18 | 2                                          27 | 3

9 | 3                                           9 | 3

3 | 3                                           3 | 3

1                                                 1

36 = 2² · 3²                               54 = 2 · 3³

НОК (36; 54) = 2² · 3³ = 108 - наименьшее общее кратное

108 : 36 = 3                               108 : 54 = 2

- - - - - - - - - - - - - - - - - - - - - - - - - - - - - - - - - - - - - - - - - - - - - - - - - -

630 | 2                                       560 | 2

315 | 3                                        280 | 2

105 | 3                                        140 | 2

35 | 5                                         70 | 2

7 | 7                                            35 | 5

1                                                  7 | 7

630 = 2 · 3² · 5 · 7                      1

                                                   560 = 2⁴ · 5 · 7

НОК (630; 560) = 2⁴ · 3² · 5 · 7 = 5040 - наименьшее общее кратное

5040 : 630 = 8                          5040 : 560 = 9

- - - - - - - - - - - - - - - - - - - - - - - - - - - - - - - - - - - - - - - - - - - - - - - - - -

18 | 2                    21 | 3                     24 | 2

9 | 3                      7 | 7                      12 | 2

3 | 3                       1                           6 | 2

1                             21 = 3 · 7              3 | 3

18 = 2 · 3²                                           1

                                                          24 = 2³ · 3

НОК (18; 21; 24) = 2³ · 3² · 7 = 504 - наименьшее общее кратное

504 : 18 = 28           504 : 21 = 24           504 : 24 = 21

- - - - - - - - - - - - - - - - - - - - - - - - - - - - - - - - - - - - - - - - - - - - - - - - - -

220 | 2                                    770 | 2

110 | 2                                      385 | 5

55| 5                                       77 | 7

11 | 11                                        11 | 11

1                                               1

220 = 2² · 5 · 11                       770 = 2 · 5 · 7 · 11

НОК (220; 770) = 2² · 5 · 7 · 11 = 1540 - наименьшее общее кратное

1540 : 220 = 7                         1540 : 770 = 2

4,6(58 оценок)
Ответ:
polina030502
polina030502
25.08.2021
Решающую роль в архитектурном деле сыграли такие известные примеры скульптурного искусства как "Баиловский замок", принадлежащий Ширваншахам, и построенный в 13 веке в порте Баку, а так же надписи и объемные изображения высеченные на памятнике "Сабаил". 
Надписи в "Баилских камнях", изображающие людей и животных вместе (тигр, верблюд, лошадь, бык, птица), были сделаны с глубоких выемок. Носящие характер фриза,эти камни в свое время были декоративными элементами потрясающего памятника на суше. 

Перевела как смогла :)
4,6(1 оценок)
Новые ответы от MOGZ: Математика
logo
Вход Регистрация
Что ты хочешь узнать?
Спроси Mozg
Открыть лучший ответ