М
Молодежь
К
Компьютеры-и-электроника
Д
Дом-и-сад
С
Стиль-и-уход-за-собой
П
Праздники-и-традиции
Т
Транспорт
П
Путешествия
С
Семейная-жизнь
Ф
Философия-и-религия
Б
Без категории
М
Мир-работы
Х
Хобби-и-рукоделие
И
Искусство-и-развлечения
В
Взаимоотношения
З
Здоровье
К
Кулинария-и-гостеприимство
Ф
Финансы-и-бизнес
П
Питомцы-и-животные
О
Образование
О
Образование-и-коммуникации
svfedunina
svfedunina
31.01.2022 03:52 •  Математика

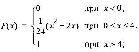
Непрерывная случайная величина задана функцией распределения вероятностей F(x). Требуется: а) найти плотность распределения вероятностей f(x); б) найти математическое ожидание, дисперсию, среднее квадратическое отклонение.


Непрерывная случайная величина задана функцией распределения вероятностей F(x). Требует

👇
Открыть все ответы
Ответ:
Pashitsyna
Pashitsyna
31.01.2022
Нам надо купить 16 подарков не дороже 17манат.
Решаем методом подбора- 11 альбомов будут стоить 80 копеей *11 =8манат 80 копеек . остаётся 17-8манат 80 копеек=8манат 20 копеек точто остаётся на покупку книг. Нам необходимо купить всего 16 подарков 16-11=5 нужно купить ещё 5 книг. 5*1монат50копеек=7 манат 50 копеек. У нас после покупки альбомов осталось 8манат 20 копеек таким образом, оставшейся суммы хватьт на покупку 5 книг. 8манат 80копеек + 7 манат 50 копеек = 16 манат 30 копеек.
ответ. Нужно купить 11 альбомов и 5 книг
4,6(100 оценок)
Ответ:
томара80
томара80
31.01.2022
1) 525 : 75 = 7 (часов) время, которое должна была затратить машина на весь путь.
2) 75 + 25 = 100 (км/ч) увеличенная скорость на II участке пути
3) Пусть длина пути от п.А до пункта ремонта  х км.
Время  на этот путь  от п. А  до  п. ремонта  \frac{x}{75}  часов.
Время, затраченное на ремонт   1 час.
Время  на путь от п.  ремонта до п. В  \frac{525-x}{100}  часов.
Зная, что на весь путь  машина затратила  7 часов, составим уравнение:
\frac{x}{75} + 1 + \frac{525-x}{100}=7 \\ \\ 
 \frac{4x+3*(525-x)}{300} = 7-1 \\ \\ 
 \frac{4x +1575-3x}{300} = 6 \\ \\ 
x + 1575 = 6*300 \\ \\ 
x= 1800 - 1575 \\ 


x= 225 (км) путь от  п.А  до п. ремонта
проверим:
(225 : 75 )  + 1  + (525-225) : 100 = 3 + 1 + 3 = 7 (часов)

ответ :  225 км длина пути от пункта А до пункта ремонта.
4,7(51 оценок)
Новые ответы от MOGZ: Математика
logo
Вход Регистрация
Что ты хочешь узнать?
Спроси Mozg
Открыть лучший ответ