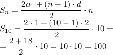
Дано: a1=1; d=2.
Найти: S10

ответ: S10=100.
Успехов
ответ:Утверждение доказано.
Пошаговое объяснение:Будем доказывать утверждение индукцией по n – числу городов. Пусть n=2. Тогда утверждение очевидно. Пусть утверждение имеет место для n=k городов. Пусть, для определённости, существует авиасообщение между всеми k городами. Добавим ещё один город. Если он соединён авиасообщением, хотя бы с одним из k городов, то все k+1 городов соединены авиасообщением. Если же нет авиасообщения ни с одним из k городов, то отсюда следует, что (k+1)-й город соединён параходнымным сообщением с каждым из k предыдущих городов. Следовательно, все k+1 городов соединены друг с другом параходным сообщением. Утверждение доказано.
первое прибавить поставить знак минус 2 и 3 при умножение и деление чётное число минусов даёт плюс 4 и 6 если в примерах умножения и деления есть один минус то в ответе минус 5 от большего отнять меньшее поставить знак большего 7 положительному числу 8 из модуля всегда выходит положительное число 9-lal 10+lal 11 его положительное число 13 между числами есть определённые расстояния как в линейке 12 суммой числа уравнения 14 то же число 15 если число с минусом то ответ положительный а если плюс то ответ отрицательный
а1=1
а10=а1+9d=1+9×2=19
S10=(a1+a10)/2 × 10 = 100