М
Молодежь
К
Компьютеры-и-электроника
Д
Дом-и-сад
С
Стиль-и-уход-за-собой
П
Праздники-и-традиции
Т
Транспорт
П
Путешествия
С
Семейная-жизнь
Ф
Философия-и-религия
Б
Без категории
М
Мир-работы
Х
Хобби-и-рукоделие
И
Искусство-и-развлечения
В
Взаимоотношения
З
Здоровье
К
Кулинария-и-гостеприимство
Ф
Финансы-и-бизнес
П
Питомцы-и-животные
О
Образование
О
Образование-и-коммуникации
Benito84
Benito84
19.03.2022 05:55 •  Математика

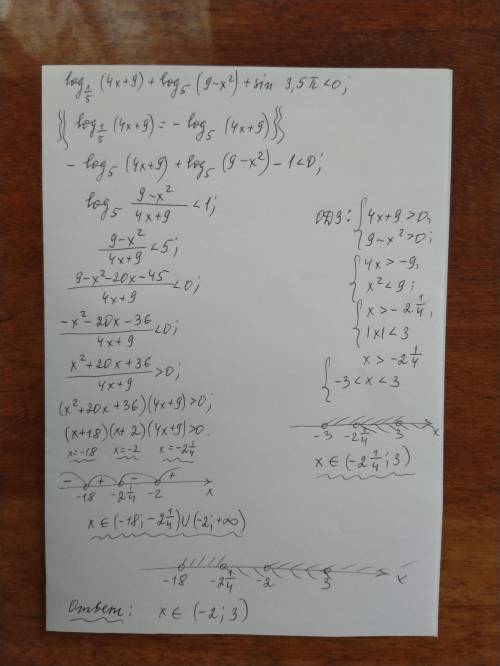
1. Решить неравенство: log0,2(4х+9)+log5(9−x^2)+sin⁡(3,5пи)<0

👇
Ответ:
Морти111
Морти111
19.03.2022

................................


1. Решить неравенство: log0,2(4х+9)+log5(9−x^2)+sin⁡(3,5пи)<0
4,5(10 оценок)
Открыть все ответы
Ответ:
ильназ48
ильназ48
19.03.2022
 «Сижу в кабине и не верю, что жив. Потрогал голову — на месте. Пошевелил руками, потом ногами — двигаются. Надо выбираться. Подтягиваюсь — нестерпимая боль в позвоночнике. Кое-как выкарабкиваюсь. Сел у самолёта и начал размышлять. Искать меня не будут. У конголезцев даже поисковой службы нет. Надо выбираться самому. Приказал себе не паниковать. Подумал: «Умирать не хочется. Я должен выжить!» Вспоминаю уроки выживания: без воды в жарких районах 3—5 дней, без пищи — до 10. Вот и топай к воде. Посмотрел на часы — 13.00. Со времени взлёта часа. Первую сопку по пути к реке перевалил без проблем. Вторую — тяжелее. На третьей — спёкся. Дыхания не хватает, сердце молотит. Стоп, думаю, а почему местные жители всегда ходят медленно? Раньше это даже раздражало, а тут понял: привычные к жаре, они берегут силы. Чего ж ты их тратишь? Пошёл медленнее. Очередная сопка, губы пересохли, язык как рашпиль. А тут и солнце к закату. Шестой час. На экваторе ночь наступает обвалом. Надо приготовиться. На горушке нашёл дерево, чтобы спиной прислониться, примял траву, запомнил, с какой стороны солнце село, и приготовился отдохнуть. Не тут-то было. Прислониться к дереву не могу: спина болит, на жёсткой траве саванны и того хуже. Наступила ночь. Взошла луна. Она там огромная. Как-то веселее стало. Всё не в темноте. Час проходит, второй, и вдруг чувствую: роса. Но как её собрать? В ладонь? Пока до рта донесёшь, её и след пропал. Пытаюсь собрать капли росы платком — не получается. Листочки у травы узенькие, да и роса не обильная. При собирать капли на два вытянутых пальца. И пока более-менее язык намочил, наступило утро.
4,6(64 оценок)
Ответ:
DendiYT
DendiYT
19.03.2022
А) -а=-(3/4-5/12)             б) -а=1 7/8 * (5 8/15 +2 1/3)
     а=9/12-5/12                     -а=15/8 * (7 (8+5)/15)
     а=4/12                             -а=15/8 * 7 13/15
      а = 1/3                           -а=15/8 * 118/15
                                               а=14,75

а)-а=-(3/4+2/15)                   б)-а=(4 1/6-3 7/15):1 2/5
     а=(45+8)/60                         -а=(25/6-52/15):1 2/5
     а=53/60                                -а=(125-104)/30:7/5
                                                   -а=21/30*5/7
                                                    а=1/2
4,7(33 оценок)
Новые ответы от MOGZ: Математика
logo
Вход Регистрация
Что ты хочешь узнать?
Спроси Mozg
Открыть лучший ответ