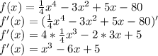
9
Пошаговое объяснение:
1) Найдем производную данной функции:

2) Подставим х = -2:

1.А) Уравнением называется равенство, содержащее одно или несколько неизвестных, значение которых необходимо найти.
2. верный ответ Значение переменной, при котором уравнение обращается в верное равенство.
среди предложенных не нашел.
3. линейным называют уравнение, в котором переменная /или переменные/ входят в первой степени, не равны нулю. можем еще так сказать
это уравнение вида ах+b=c
ax+by=c , где a, b, c - некоторые числа, х и у -переменные. причем а≠0, если речь об уравнении с двумя переменными, то а≠0;b≠0.
4. квадратное - это уравнение вида ах²+bx+c=0, где а,b,с - некоторые числа, причем а≠0, х и у-переменные.
5. Неравенство вида ах+b<0 (ах+b≤0, ах+b>0, ах+b≥0).где а≠0.
6. А) Уравнение имеет два равных действительных корня. но при условии, что решаем уравнение в области действительных чисел. иначе ответ Е.
7. А) Уравнение имеет два различных действительных корня. если речь о решении кв. уравнения в области действительных чисел.
иначе ответ Е.
8. А) Уравнение не имеет действительных корней.
9.D=b²-4ас
10. А) Уравнения, имеющие одно и то же множество решений
11. 7х-8=2х-3⇒А)х=1
12. 3-4х=5+8х⇒12х=-2, х=-1/6, верного ответа нет.
13. 7-х=-4+10х; х=1
14. 4х-4=6+3х⇒А)х=10
15. А) -0.5
16. 7-3х-3=х-1⇒А)1.25
17. -15+3х=2х-19⇒А)-4
18. 3-2х<5-3х⇒А) x<2
19. 5х+6>3х-2⇒А) x>-4
20. 3х-5≥23-4х⇒А) x≥4
21. По Виету А) 4;-2
22. 3х²-2х-1=0−1
здесь два ответа . ноль и 2/3
23. у=х+1 целая прямая ответов. подходят А, С,
24.- нет системы
25.аналогично.
26. аналогично
27 нет
28. 10х²-х+1=0 А) Не имеет действительных корней
29 нет уравнения
30нет неравенства. но больше половины, как требуют правила, я решил вам.
bb
1) пусть 1 ручка стоит -х тенге, а 1 карандаш - у тенге, составим два уравнения
4х+2у=290 и 2х+5у=245, второе уравнение умножаем на -2 и складываем его с первым, т.е. 4х+2у=290 и -4х-10у=-490 складываем -8у=-200, у=25, тогда 4х+2*25=290, 4х=290-50, 4х=240, х=60.
ответ: авторучка стоит 60 тенге, а карандаш 25 (Б)
2) (5х-3)+(7х-4)=8- (15-11х)
5х-3+7х-4=8-15+11х
12x-7=-7+11x; 12x-11x=0, x=0 (A)
3) у=-5х-2 пусть у=0, тогда 5х-2=0, 5х=2, х=2/5 - первая точка (2/5; 0), теперь пусть х=0, получается у=-2, вторая точка (0, -2)
4) В) имеет бесконечное множество решений
5) первый раз слышу о черном равенстве, скорей всего ответ А)
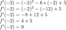
Пошаговое объяснение:
f'(x)= x³-6x+5
f'(-2)= -8+12+5= 9