М
Молодежь
К
Компьютеры-и-электроника
Д
Дом-и-сад
С
Стиль-и-уход-за-собой
П
Праздники-и-традиции
Т
Транспорт
П
Путешествия
С
Семейная-жизнь
Ф
Философия-и-религия
Б
Без категории
М
Мир-работы
Х
Хобби-и-рукоделие
И
Искусство-и-развлечения
В
Взаимоотношения
З
Здоровье
К
Кулинария-и-гостеприимство
Ф
Финансы-и-бизнес
П
Питомцы-и-животные
О
Образование
О
Образование-и-коммуникации
Ариэль111111
Ариэль111111
30.03.2022 06:17 •  Математика

Среди участников соревнований по лёгкой атлетике 32% школьников, а остальные взрослые. определите общее количество участников соревнований, если взрослых на 72 человека больше, чем школьников.

👇
Ответ:
markasolnce2103
markasolnce2103
30.03.2022

Пусть х это кол-во школьников на соревновании.

А у - кол-во взрослых.

И z - все участники.

Тогда составим и решим систему.

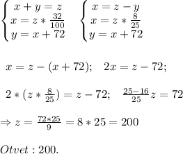
\begin{matrix}\begin{Bmatrix}x+y=z\\x=z*\frac{32}{100}\\y=x+72\end{matrix}&\begin{Bmatrix}x=z-y\\x=z*\frac{8}{25}\\y=x+72\end{matrix}\end{matrix}\\\\\\\begin{matrix}x=z-(x+72);&2x=z-72;\end{matrix}\\\\\begin{matrix}2*(z*\frac{8}{25})=z-72;&\frac{25-16}{25}z=72\Rightrrow\end{matrix}\\\\\Rightarrow z=\frac{72*25}{9}=8*25=200\\\\Otvet:200.

4,6(75 оценок)
Ответ:
natka73
natka73
30.03.2022

200 человек

Пошаговое объяснение:

32% - школьники

100%-32%=68% - взрослые

68%-32%=36% - взрослых больше, чем детей

36% - 72 чел

100% - х чел

х=(100*72)/36=200 (чел)

4,5(88 оценок)
Открыть все ответы
Ответ:
Djamila1108
Djamila1108
30.03.2022
Кто принимает госстей:
-Здравствуйте дорогие гости,мы вас уже заждолись
Гости:
-Здравчтвуйте
Принимающие гостей:
Вот ваши тапочки
Гости:
вы так добры
Принимающие гостей:
-Может чашечку чаю?
Гости:
-Не откажусь
Принемавшие гостей:
-Вам сколько кубиков сахора?
Гости:
-Два
Принемающие гостей:
-Хорошо,через 5 минут будет чай
Гости:
-Вы так добры сегодня
(Там они разговаривают на тему по которой пришел гость)
Принимающий гостей:
-Так жалко что вы уходите...
Гость:
-Какнибудь еще заглену
Принемающий гостей:
-Будем ждать с нетерпением
Гость:
-Досвидания
Принемающий гостей:
-Досвидания

Вроде все:)
4,6(45 оценок)
Ответ:
lehareva
lehareva
30.03.2022

1. Область определения D(у)=[-6;8]

2. Область значений Е(у)=[-3,1; 5]

3. Нули функции х=-2; х=-4; х=2; х=6.

4. Промежутки знакопостоянства у>0  при х∈[-6;-4)∪(-2;2)∪(6;8]  у<0 при х∈(-4;-2)∪(2;6)

5. Промежутки  монотонности. Функция убывает на промежутках

[-8;-3]; [0;4,5] и [7;8] а возрастает на промежутках [-3;0] и [4,5;7]

6. Наименьшее значение у=-3,1, наибольшее у=5.

7. Функция общего вида, ни четная, ни нечетная, т.к. график ее не симметричен ни относительно оси ординат, ни относительно начала системы координат.

8. Функция не периодическая.

4,4(32 оценок)
Новые ответы от MOGZ: Математика
logo
Вход Регистрация
Что ты хочешь узнать?
Спроси Mozg
Открыть лучший ответ