М
Молодежь
К
Компьютеры-и-электроника
Д
Дом-и-сад
С
Стиль-и-уход-за-собой
П
Праздники-и-традиции
Т
Транспорт
П
Путешествия
С
Семейная-жизнь
Ф
Философия-и-религия
Б
Без категории
М
Мир-работы
Х
Хобби-и-рукоделие
И
Искусство-и-развлечения
В
Взаимоотношения
З
Здоровье
К
Кулинария-и-гостеприимство
Ф
Финансы-и-бизнес
П
Питомцы-и-животные
О
Образование
О
Образование-и-коммуникации
Kruglivnik1ta
Kruglivnik1ta
13.11.2021 23:44 •  Математика

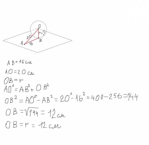
точка а лежит на касательной к шару плоскости и удалена от точки касания на 16 см и от центра шара на 20 см. найдите радиус шара

👇
Ответ:
JennieBlackpink1996
JennieBlackpink1996
13.11.2021

Пошаговое объяснение:

Касательная к сфере плоскость перпендикулярна к радиусу, проведенному в точку касания.

а дальше всё видно из рисунка

ко - радиус

ко² = ао²-ка²

ко² = 20²-16² = 144

ко = 12


точка а лежит на касательной к шару плоскости и удалена от точки касания на 16 см и от центра шара н
4,6(96 оценок)
Ответ:
ННеетт
ННеетт
13.11.2021

радиус шара = 12 см

Пошаговое объяснение:


точка а лежит на касательной к шару плоскости и удалена от точки касания на 16 см и от центра шара н
4,6(82 оценок)
Открыть все ответы
Ответ:
zakomorniy
zakomorniy
13.11.2021
Это правило существует, наверное, так давно, как и само человечество. Оно призывает нас поступать с другими так, как нам хотелось бы, чтобы другие поступали с нами, и не делали никому того, чего не желаем самим себе.

Это правило в разные времена и эпохи упоминалось в различных религиозных учениях — и в христианстве, и в исламе, и в буддизме, и в других религиях. Христианский закон любви к ближнему основывается именно на этом правиле.

Обычно золотое правило этики воспринимают исключительно, как пожелание делать добро – и не больше. Сделаешь кому-то что полезное – отлично, молодец. Не сделаешь – тоже ничего. Поступишь с кем-то плохо – ну, что уж, так получилось. И мы редко задумываемся над тем, что у всех этих действий есть свои последствия.
4,8(11 оценок)
Ответ:
жека596
жека596
13.11.2021
Европейцев в XV в. привлекали богатства не только Азии, но и Африки В это время страны Южной Европы через Средиземное море вели торговлю со странами Северной Африки, главным образом с Египтом и с богатыми и культурными государствами Магриба — Марокко, Алжиром и Тунисом. Однако до конца XV в. большая часть африканского континента была неизвестна европейцам; не было прямых связей Европы с Западным Суданом, изолированным от стран Средиземноморья труднопроходимой пустыней Сахарой и неизвестной европейцам частью Атлантического океана.
4,6(94 оценок)
Это интересно:
Новые ответы от MOGZ: Математика
logo
Вход Регистрация
Что ты хочешь узнать?
Спроси Mozg
Открыть лучший ответ