М
Молодежь
К
Компьютеры-и-электроника
Д
Дом-и-сад
С
Стиль-и-уход-за-собой
П
Праздники-и-традиции
Т
Транспорт
П
Путешествия
С
Семейная-жизнь
Ф
Философия-и-религия
Б
Без категории
М
Мир-работы
Х
Хобби-и-рукоделие
И
Искусство-и-развлечения
В
Взаимоотношения
З
Здоровье
К
Кулинария-и-гостеприимство
Ф
Финансы-и-бизнес
П
Питомцы-и-животные
О
Образование
О
Образование-и-коммуникации
teslinovpavel
teslinovpavel
15.12.2020 07:39 •  Математика

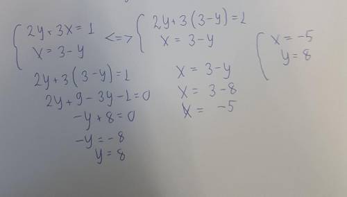
Решите системы уравнение {2y+3x=1/x=3-y ​

👇
Ответ:

Решение смотри на фоторафии....


Решите системы уравнение {2y+3x=1/x=3-y ​
4,5(20 оценок)
Открыть все ответы
Ответ:
chip0523
chip0523
15.12.2020

  Площадь прямоугольника находится по формуле S=ab, где

  S -площадь

  а-длина

  b-ширина                                           

                                              Решение

1) 17·12=204(см²)-площадь сквера

2)14·9=126(см²)-площадь цветника

3) 204-126=78(см²)-площадь всех дорожек

Так как 17-12=5 и 14-9=5, значит площадь у всех дорожек одинаковая

4) 78÷4=19.5(см²)-площадь каждой дорожки

ответ: 19.5см²


Начертить чертёж в удобном масштабе- значит не обязательно чертить прямоугольник в натуральную величину (17м и 12м, 14м и9м), а можно начертить его поменьше.

Чертёж будет такой:


Нужно сделать к чертёж в удобном масштабе. не знаю как но как нибудь попытайтесь) в центре прямоугол
4,4(76 оценок)
Ответ:
ADAMREUS
ADAMREUS
15.12.2020

  Площадь прямоугольника находится по формуле S=ab, где

  S -площадь

  а-длина

  b-ширина                                           

                                              Решение

1) 17·12=204(см²)-площадь сквера

2)14·9=126(см²)-площадь цветника

3) 204-126=78(см²)-площадь всех дорожек

Так как 17-12=5 и 14-9=5, значит площадь у всех дорожек одинаковая

4) 78÷4=19.5(см²)-площадь каждой дорожки

ответ: 19.5см²


Начертить чертёж в удобном масштабе- значит не обязательно чертить прямоугольник в натуральную величину (17м и 12м, 14м и9м), а можно начертить его поменьше.

Чертёж будет такой:


Нужно сделать к чертёж в удобном масштабе. не знаю как но как нибудь попытайтесь) в центре прямоугол
4,7(70 оценок)
Новые ответы от MOGZ: Математика
logo
Вход Регистрация
Что ты хочешь узнать?
Спроси Mozg
Открыть лучший ответ