Вход
Регистрация
Спроси Mozg AI
М
Молодежь
К
Компьютеры-и-электроника
Д
Дом-и-сад
С
Стиль-и-уход-за-собой
П
Праздники-и-традиции
Т
Транспорт
П
Путешествия
С
Семейная-жизнь
Ф
Философия-и-религия
Б
Без категории
М
Мир-работы
Х
Хобби-и-рукоделие
И
Искусство-и-развлечения
В
Взаимоотношения
З
Здоровье
К
Кулинария-и-гостеприимство
Ф
Финансы-и-бизнес
П
Питомцы-и-животные
О
Образование
О
Образование-и-коммуникации
.....больше.....
..меньше..
adamadam
17.11.2022 09:03 •
Математика
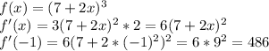
Найдите значение производной функции y=f(x) и точке x=-1, если f(x)=(7+2x)в третьей степени
👇
Увидеть ответ
Ответ:
rahat9
17.11.2022
Пошаговое объяснение:
4,7
(61 оценок)
Открыть все ответы
Ответ:
arinastl
17.11.2022
3ч 9мин*6-8мин 7с*7= 17ч 57мин 11с
1) 3ч 9мин*6=18ч 54 мин
2) 8мин 7с*7=56мин 49 сек
3) 18ч 54 мин-56 мин 49с=17 ч 114мин - 56мин 49с=17ч 113мин 60сек-56мин 49с=17ч 57мин 11с
(8т 4ц 24кг+10кг 506г)*64= 537т 28ц 8кг 380г
1) 8т 4ц 24 кг+10кг 506г=8т 4ц 34кг 506г
2) 8т 4ц 34кг 506г*64=8т*64+4ц*64+34кг*64+506г*64=512т +256ц +2176кг +32384г= 512т+25т 6ц+21ц 76кг+32кг 380г=537т 27ц 108кг 380г=537т 28ц 8кг 380г
32384г=32 кг 380 г
2176кг =21ц 76кг
256ц =25т 6ц
108кг=1ц 8кг
8км 35м*52-360км 72м:18=397км 816м
1) 8км 35м*52=416 км 1820м=417км 820м
2) 360км 72м:18=20км 4м
3) 417км 820м-20км 4м=397км 816м
4,4
(30 оценок)
Ответ:
qpdgjekelxnvi
17.11.2022
1)х/4=5 x=4*5 x=20 2) 105/y=7 y=105:7 y=15
4,8
(41 оценок)
Это интересно:
З
Здоровье
05.02.2023
Как сдержать газы: 7 важных советов...
Д
Дом-и-сад
10.09.2020
Заставьте ваш филодендрон расцвести: советы по уходу за растением...
В
Взаимоотношения
01.11.2020
Как определить, что девушка пытается увести вашего парня...
К
Кулинария-и-гостеприимство
22.12.2021
Как приготовить вкусное мороженое из молока в домашних условиях...
К
Компьютеры-и-электроника
31.05.2020
Как правильно ответить на сообщение?...
К
Кулинария-и-гостеприимство
21.10.2022
Лучший способ приготовления традиционных макарон с сыром...
С
Стиль-и-уход-за-собой
05.07.2020
Хна для волос: как правильно сочетать и наносить?...
З
Здоровье
25.04.2020
Как вывести токсины из легких с помощью натуральных средств...
С
Стиль-и-уход-за-собой
25.06.2021
Как наносить тональную крем-пудру: лучшие способы...
К
Кулинария-и-гостеприимство
19.02.2020
Как приготовить сливочную яичницу болтунью...
Новые ответы от MOGZ: Математика
NikitaSuperkryt228
11.04.2023
Из 600 кла¬ви¬а¬тур для ком¬пью¬те¬ра в сред¬нем 12 не исправны. Ка¬ко¬ва вероятность того, что слу¬чай¬но выбранная кла¬ви¬а¬ту¬ра исправна?...
Юлия7791
31.10.2022
очень задание на фото, желательно с пояснением >...
lubovsher1
25.07.2021
Вычислите 2,05² с приближенного равенства (1+h)²≈1+2h. Найдите относительную погрешность приближения....
тошка12
18.05.2021
|–8,3| + |–2,9| = |–5,75| – |2,38| = |–8,4| · |–1,5| = |7,14| : |–2,1| =...
альбина330
07.08.2020
Ймовірність того, що одна одиниця обладнання потребує втручання майстра протягом зміни становить 0,3. В цеху 7 одиниць аналогічного обладнання. Знайти ймовірність того, що...
AntosciucAndreea
25.04.2021
Cколько комбинаций взять числа a и b из чисел от 1 до k при том что a не равно b, a - b = |b - a| ?...
mashashhukina
16.01.2022
7. Вычисли значения выражений. (4 + 5) - 5 4 + 5 - 5 4. 6+ (2 + 6) 4. (6 + 2) + 6 8. 6 - 4:2 8. (6 - 4) : 2...
GabriellaKiM
16.01.2022
285.сократьте обыкновенные дроби номер 295 в 2) аж ж...
25112005828
07.04.2020
4 м 56 см равно сколько это сантиметров...
elyushik
07.04.2020
Реши уравнение. х+497 =257+243. 788+х=380+420...
MOGZ ответил
5 односоставных предложений из мцыри 1-2 лица...
Геологічна будова корисні копалини форма рельєфу волино подільської плити,...
Твір-опис.Дзвінится Софійський собор....
1 1) 7- 2x 0. 5x - 20 0;...
даю. Тарас Бульба . Тема сочинения: «Остап и Андрий - братья и враги...
Що спільного в будові етанолу і гліцерину? Які спільні властивості вони...
Зробіть висновки щодо просторової організації економіки обраної вами країни.(Німеччини)...
1. Предмет находится на расстоянии 60 см от собирающей линзы с фокусным...
1.Составьте программу, для нахождения периметра и площади прямоугольного...
Яка кількість теплоти виділяється під час кристалізації 500 г платини...
Полный доступ к MOGZ
Живи умнее Безлимитный доступ к MOGZ
Оформи подписку
О НАС
О нас
Блог
Условия пользования
Авторское право
Политика конфиденциальности
Предпочтения cookie-файлов
ПОМОЩЬ
Зарегистрируйся
Центр помощи
Центр безопасности
App
Вход
Регистрация
Что ты хочешь узнать?
Спроси Mozg
Открыть лучший ответ
×
Пошаговое объяснение: