М
Молодежь
К
Компьютеры-и-электроника
Д
Дом-и-сад
С
Стиль-и-уход-за-собой
П
Праздники-и-традиции
Т
Транспорт
П
Путешествия
С
Семейная-жизнь
Ф
Философия-и-религия
Б
Без категории
М
Мир-работы
Х
Хобби-и-рукоделие
И
Искусство-и-развлечения
В
Взаимоотношения
З
Здоровье
К
Кулинария-и-гостеприимство
Ф
Финансы-и-бизнес
П
Питомцы-и-животные
О
Образование
О
Образование-и-коммуникации
Ksenya5727
Ksenya5727
29.08.2022 17:43 •  Математика

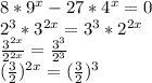
Решите уравнение 8*9^x-27*4x=0


Решите уравнение 8*9^x-27*4x=0

👇
Ответ:
ГЕОГАФИЯ
ГЕОГАФИЯ
29.08.2022

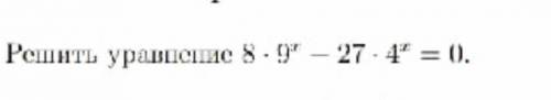
8*9^x-27*4^x=0\\2^3*3^{2x}=3^3*2^{2x}\\\frac{3^{2x}}{2^{2x}}=\frac{3^3}{2^3}\\ (\frac{3}{2} )^{2x}=(\frac{3}{2} )^3

Получили простейшее показательное уравнение - основания степеней равны, а значит равны и показатели степеней

2х=3

х=3/2=1,5

ответ: 1,5

4,7(8 оценок)
Открыть все ответы
Ответ:
Demongirl1
Demongirl1
29.08.2022
Понять, что такое круги Эйлера, можно, решив несколько задач. Каждый круг Эйлера обозначает множество объектов (то есть набор каких-либо объектов, заданный так, что про вообще любой объект можно однозначно определить, есть он в этом наборе, или нет), а точка — один объект. Точка рисуется внутри круга, если объект принадлежит этому множеству, а иначе — снаружи круга.

В случае, если объект принадлежит сразу нескольким множествам (то есть лежит в пересечении множеств), обозначающая его точка находится в пересечении соответствующих этим множествам кругов (то есть в каждом из них).

Если объект принадлежит хотя бы одному из нескольких множеств, то говорят, что он принадлежит их объединению. Применительно к кругам Эйлера это означает, что точка лежит хотя бы в одном из кругов, соответствующих этим множествам.

Объект лежит в разности двух множеств, если он лежит в первом из них, но не лежит во втором.

Чтобы не рисовать точки, часто просто пишут их количество в соответствующих частях кругов.
4,6(13 оценок)
Ответ:
kristina5171
kristina5171
29.08.2022
№1
Правильные дроби меньше единицы.
Неправильные дроби больше единицы или равны ей.
Любая правильная дробь меньше неправильной.
Любая неправильная дробь больше правильной.
№2
 \frac{17}{7}= 2\frac{3}{17}; 1 =\frac{17}{17} ⇒  \frac{17}{7}\ \textgreater \ 1
1= \frac{4}{4}  \frac{3}{4}\ \textless \ 1
 \frac{8}{8}=1 ⇒ \frac{8}{8}=1
 \frac{9}{5}= 1\frac{4}{5} ⇒  \frac{5}{9}\ \textless \ \frac{9}{5}
102%= \frac{102}{100}= 1\frac{2}{100}  ⇒ 102%\ \textgreater \ \frac{56}{100}
№3
а)8* \frac{9}{2}=8:2*9=36 литров воды вмещает бак
б)42:\frac{7}{3}=42* \frac{3}{7}=42:7*3=18 кг весит сестра. 
№4
21.140.000:350-156*3120:234=58.320
1)21.140.000:350=60.400
2)156*3.120=486.720
3)486.720:234=2080
4)60.400-2080=58.320
№5
1)Лишнее число 25,т.к. нечётное.
2)Лишнее число 25,т.к. единственное изо всех не делится на 4.
3)Лишнее число 56,т.к. единственное изо всех не является квадратом числа.
4,5(99 оценок)
Это интересно:
Новые ответы от MOGZ: Математика
logo
Вход Регистрация
Что ты хочешь узнать?
Спроси Mozg
Открыть лучший ответ