М
Молодежь
К
Компьютеры-и-электроника
Д
Дом-и-сад
С
Стиль-и-уход-за-собой
П
Праздники-и-традиции
Т
Транспорт
П
Путешествия
С
Семейная-жизнь
Ф
Философия-и-религия
Б
Без категории
М
Мир-работы
Х
Хобби-и-рукоделие
И
Искусство-и-развлечения
В
Взаимоотношения
З
Здоровье
К
Кулинария-и-гостеприимство
Ф
Финансы-и-бизнес
П
Питомцы-и-животные
О
Образование
О
Образование-и-коммуникации
Den1ska4
Den1ska4
05.01.2021 16:15 •  Математика

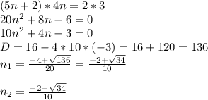
При каком значении n вектора а (5n+2;3) и b(2; 4n) коллинеарны.

👇
Ответ:
oxanalusevich
oxanalusevich
05.01.2021

Пошаговое объяснение:

\frac{5n+2}{2} =\frac{3}{4n}

(5n+2)*4n=2*3\\20n^{2} +8n-6=0\\10n^{2} +4n-3=0\\D=16-4*10*(-3)=16+120=136\\n_{1} =\frac{-4+\sqrt{136} }{20}=\frac{-2+\sqrt{34} }{10} \\ \\n_{2} =\frac{-2-\sqrt{34} }{10} \\

4,4(28 оценок)
Открыть все ответы
Ответ:
Artur1Khasanov
Artur1Khasanov
05.01.2021
Составные числа, это НЕ ПРОСТЫЕ числа, в прямом смысле этого слова. 
Простые числа это числа, которые НЕ ЯВЛЯЮТСЯ произведением какого либо числа, и => делятся только сами на себя и на 0.
Числа 13 составное, потому что его нельзя получить умножением двух натуральных чисел, которые больше одного. И 13 делится (в результате с целым числом только на себя и на один. 13/13=1 и 13/1=13

Например, число 12 - составное, ибо 12 это произведение чисел 2*6 или 3*4 (число 1 не в счёт). И 12 делится помимо 12 и 1, также и на 6, и на 4, и на 3.

Говоря навскидку, да вроде так и есть, все твои числа простые.
4,7(34 оценок)
Ответ:
Zhuldyz2005
Zhuldyz2005
05.01.2021
1.На корнях формируют клубеньки, которые накапливают азот( он росту зелёной массы последующих растений).
2.Тараканы,крысы,плесень
3.Бобры строят дамбы и запруды. Слоны ломают старые деревья и на их месте вырастает молодая поросль.
4.Загрязнены почти все водоёмы нашей области тем или иным образом.Про ваших обитателей и фильтрацию не знаю.
5.Вроде бы никак..Эти ядохимикаты уничтожают только определенные виды вредителей.
6.Лесополосы задерживают ветра и снег.
7.Тепловое загрязнение это общий термин нарушения температурного режима биосистемы.Горячие стоки вызывают активность "летних" форм жизни (водросли и насекомые) .Нарушается баланс, экосистема изменяется
4,7(65 оценок)
Это интересно:
Новые ответы от MOGZ: Математика
Полный доступ к MOGZ
Живи умнее Безлимитный доступ к MOGZ Оформи подписку
logo
Вход Регистрация
Что ты хочешь узнать?
Спроси Mozg
Открыть лучший ответ