
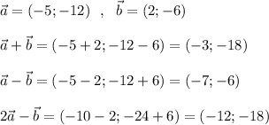
а+в= (-5;-12)+(2;-6)=(-3;-18)
а-в=(-5;-12)-(2;-6)=(-7;-6)
2а-в=2(-5;-12)-(2;-6)=(-10;-24)-(2;-6)=(-12;-18)
Пошаговое объяснение:
Разложим на простые множители 72
72 = 2 • 2 • 2 • 3 • 3
Разложим на простые множители 120
120 = 2 • 2 • 2 • 3 • 5
Выберем одинаковые простые множители в обоих числах.
2 , 2 , 2 , 3
Находим произведение одинаковых простых множителей и записываем ответ
НОД (72; 120) = 2 • 2 • 2 • 3 = 24
792=2*2*2*3*3*11
1188=2*2*3*3*3*11
НОД (792;1188) = 2*2*3*3*11=396
НОК (792;1188) = 2*2*2*3*3*11*3=2376
Разложим на простые множители 396
396 = 2 • 2 • 3 • 3 • 11
Разложим на простые множители 924
924 = 2 • 2 • 3 • 7 • 11
Выберем одинаковые простые множители в обоих числах.
2 , 2 , 3 , 11
Находим произведение одинаковых простых множителей и записываем ответ
НОД (396; 924) = 2 • 2 • 3 • 11 = 132
НОД (116;111) = 1
111 = 3×37
116 = 2×2×29
Подробнее - на -