М
Молодежь
К
Компьютеры-и-электроника
Д
Дом-и-сад
С
Стиль-и-уход-за-собой
П
Праздники-и-традиции
Т
Транспорт
П
Путешествия
С
Семейная-жизнь
Ф
Философия-и-религия
Б
Без категории
М
Мир-работы
Х
Хобби-и-рукоделие
И
Искусство-и-развлечения
В
Взаимоотношения
З
Здоровье
К
Кулинария-и-гостеприимство
Ф
Финансы-и-бизнес
П
Питомцы-и-животные
О
Образование
О
Образование-и-коммуникации
лехенский
лехенский
20.05.2023 05:11 •  Математика

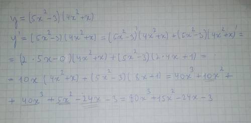
Найти производную. у=(5 x∧2−3 ) (4 x∧2+х )

👇
Ответ:
aaapruda
aaapruda
20.05.2023

На фотографии.

Пошаговое объяснение:

Решение там же.


Найти производную. у=(5 x∧2−3 ) (4 x∧2+х )
4,8(27 оценок)
Открыть все ответы
Ответ:
1234567890987078
1234567890987078
20.05.2023

ответ: 120


Пошаговое объяснение:

1. Признаки делимости на 6 и 8:

-   если число оканчивается одной из цифр 0, 2, 4, 6 или 8, а сумма цифр в записи числа делится на 3, то такое число делится на 6;

- число делится на 8, если три его последние цифры - нули или образуют число, которое делится на 8.

2. Поскольку нужно найти минимальное 3-х значное число, которое делится на 6 и на 8, то ноль удовлетворяет условию задания: хх0.

3. Минимальное двузначное число, которое делится на 8 - это 16, но, если обозначить искомым числом 160,  то число не будет делиться на 6 без остатка: 1+6+0=7,  7/3= 2 1/3.

4. Минимальное двузначное число, которое делится на 6 без остатка - это 12. Если обозначить искомым числом 120, и проверить, делится ли число 120 на 8, то ответ будет положительным: 120/8=15 - 120 делится без остатка и на 8.


   

4,5(12 оценок)
Ответ:
Юля7071
Юля7071
20.05.2023

ответ: 120


Пошаговое объяснение:

1. Признаки делимости на 6 и 8:

-   если число оканчивается одной из цифр 0, 2, 4, 6 или 8, а сумма цифр в записи числа делится на 3, то такое число делится на 6;

- число делится на 8, если три его последние цифры - нули или образуют число, которое делится на 8.

2. Поскольку нужно найти минимальное 3-х значное число, которое делится на 6 и на 8, то ноль удовлетворяет условию задания: хх0.

3. Минимальное двузначное число, которое делится на 8 - это 16, но, если обозначить искомым числом 160,  то число не будет делиться на 6 без остатка: 1+6+0=7,  7/3= 2 1/3.

4. Минимальное двузначное число, которое делится на 6 без остатка - это 12. Если обозначить искомым числом 120, и проверить, делится ли число 120 на 8, то ответ будет положительным: 120/8=15 - 120 делится без остатка и на 8.


   

4,6(27 оценок)
Это интересно:
Новые ответы от MOGZ: Математика
logo
Вход Регистрация
Что ты хочешь узнать?
Спроси Mozg
Открыть лучший ответ