М
Молодежь
К
Компьютеры-и-электроника
Д
Дом-и-сад
С
Стиль-и-уход-за-собой
П
Праздники-и-традиции
Т
Транспорт
П
Путешествия
С
Семейная-жизнь
Ф
Философия-и-религия
Б
Без категории
М
Мир-работы
Х
Хобби-и-рукоделие
И
Искусство-и-развлечения
В
Взаимоотношения
З
Здоровье
К
Кулинария-и-гостеприимство
Ф
Финансы-и-бизнес
П
Питомцы-и-животные
О
Образование
О
Образование-и-коммуникации
som1712
som1712
08.03.2020 08:46 •  Математика

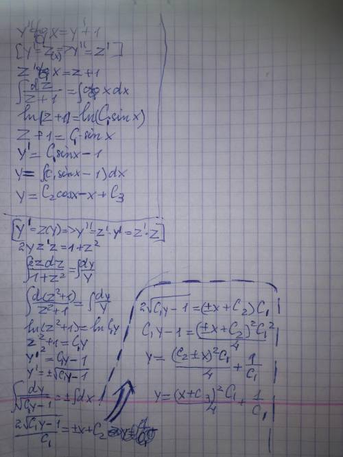
Используя метод понижения порядка, найти общее решение дифференциального уравнения второго порядка


Используя метод понижения порядка, найти общее решение дифференциального уравнения второго порядка

👇
Ответ:
nikakri14
nikakri14
08.03.2020

Пошаговое объяснение:в приложении


Используя метод понижения порядка, найти общее решение дифференциального уравнения второго порядка
4,4(61 оценок)
Открыть все ответы
Ответ:
tasss1
tasss1
08.03.2020
Было число АВС=100А+10В+С.

Добавили к нему 3,стало число: или 
а)  100А+10В+(С+3), или, если "перешли через десяток" (когда С больше или равно 7, например, 8+3=11), то
б)  100А+10(В+1)+(С+3-10).

 По условию, сумма цифр "стало" получается в 3 раза меньше, чем сумма цифр "было" ,  = А+В+С,
а) или А+В+С= 3(А+В+С+3),
б) или А+В+С= 3(А+В+1+С+3-10).  Проверьте на примере, когда 8+3=11. Цифра ДЕСЯТКОВ (В) увеличивается на 1, а цифра ЕДИНИЦ (С) уменьшается на 10. 

Теперь решаем. Сначала вариант а): 
2А+2В+2С=-9. Явно нереально, цифры-то ПОЛОЖИТЕЛЬНЫЕ.

Вариант в):
А+В+С= 3(А+В+С-6)
2А+2В+2С=18 и А+В+С=9
РЕАЛЬНЫЙ вариант.

 ПОМНИМ, что  "С больше или равно 7" - значит, сумма (А+В) должна быть меньше или равно 2, т.е. А и В - числа 0,1,2.
(А МОЖЕТ быть = 0,   т.к. не указано, что первоначальное число было ТРЕХЗНАЧНОЕ)

 Это могут быть числа   27, 108,117, 207. 
ТОЛЬКО четыре этих числа - ДРУГИХ вариантов НЕТ.
4,4(12 оценок)
Ответ:
iriskaesipova
iriskaesipova
08.03.2020
Было число АВС=100А+10В+С.

Добавили к нему 3,стало число: или 
а)  100А+10В+(С+3), или, если "перешли через десяток" (когда С больше или равно 7, например, 8+3=11), то
б)  100А+10(В+1)+(С+3-10).

 По условию, сумма цифр "стало" получается в 3 раза меньше, чем сумма цифр "было" ,  = А+В+С,
а) или А+В+С= 3(А+В+С+3),
б) или А+В+С= 3(А+В+1+С+3-10).  Проверьте на примере, когда 8+3=11. Цифра ДЕСЯТКОВ (В) увеличивается на 1, а цифра ЕДИНИЦ (С) уменьшается на 10. 

Теперь решаем. Сначала вариант а): 
2А+2В+2С=-9. Явно нереально, цифры-то ПОЛОЖИТЕЛЬНЫЕ.

Вариант в):
А+В+С= 3(А+В+С-6)
2А+2В+2С=18 и А+В+С=9
РЕАЛЬНЫЙ вариант.

 ПОМНИМ, что  "С больше или равно 7" - значит, сумма (А+В) должна быть меньше или равно 2, т.е. А и В - числа 0,1,2.
(А МОЖЕТ быть = 0,   т.к. не указано, что первоначальное число было ТРЕХЗНАЧНОЕ)

 Это могут быть числа   27, 108,117, 207. 
ТОЛЬКО четыре этих числа - ДРУГИХ вариантов НЕТ.
4,8(51 оценок)
Это интересно:
Новые ответы от MOGZ: Математика
logo
Вход Регистрация
Что ты хочешь узнать?
Спроси Mozg
Открыть лучший ответ