М
Молодежь
К
Компьютеры-и-электроника
Д
Дом-и-сад
С
Стиль-и-уход-за-собой
П
Праздники-и-традиции
Т
Транспорт
П
Путешествия
С
Семейная-жизнь
Ф
Философия-и-религия
Б
Без категории
М
Мир-работы
Х
Хобби-и-рукоделие
И
Искусство-и-развлечения
В
Взаимоотношения
З
Здоровье
К
Кулинария-и-гостеприимство
Ф
Финансы-и-бизнес
П
Питомцы-и-животные
О
Образование
О
Образование-и-коммуникации
pikeik
pikeik
20.07.2021 23:28 •  Математика

Решите неравенство: a^{2} \leq x\leq a^{2} написать не только решение, но и максимально понятное объяснение !

👇
Ответ:

Чтобы было нагляднее, вычтем из всех частей этого неравенства a^2:

a^2-a^2 \leq x - a^2 \leq a^2-a^2\\0 \leqslant x-a^2 \leqslant 0

Выражение x-a^2 не может быть одновременно и больше, и меньше нуля (это одна из аксиом алгебры: для любых двух чисел x и y выполняется одно и только одно из соотношений: xy, \; x), поэтому оно может равняться только нулю:

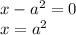
x-a^2=0\\x=a^2

В мат. анализе с приведения к подобному неравенству (только для функций) доказывается существование первого замечательного предела - "теорема о двух конвоирах (миллиционерах)"

4,6(65 оценок)
Ответ:
markthebest95
markthebest95
20.07.2021

Решение простое.  х ≥ а², когда х либо больше, либо равно а².

Другая часть неравенства х ≤ а², когда х либо меньше, либо равно а².

Пересечение решений, т.е. их общее решение х=а² и будет ответом.   а²≤а²≤а², т.е. при х=а² выполняется как одна часть неравенства, так и другая, поэтому х=а²

ответ х=а²

4,8(27 оценок)
Открыть все ответы
Ответ:
Молодочек
Молодочек
20.07.2021

1)по теореме косинусов AB^2 = BC^2 AC^2 - 2*BC*AC*cosC = 5^2 32 - 40 = 17
2)ав^2=b^2+121+11*b значит ав=b+11 я подставила в формулу и упрастила выражение получился ответ в+11

2 a^2=b^2+c^2-2cosa вытащим отсюда соs, cos=(b^2+c^2-a^2)/2bc=(100+225-81)/2*10*15=61/75 -это я нашла косинус первого угла


b^2=a^2+c^2-2cosb cosb =(a^2+c^2-b^2)/2ac=(a^2+c^2-b^2)/2ac=9^2+15^2-10^2/2*9*15=81+225-100/270=206/270=103/135- это я нашла   второй косинус угла


с^2=a^2+в^2-2cosс cosс =(a^2+в^2-с^2)/2aв=9^2+10^2-15^2/2*9*10=81+100-225/180 - это я нашла косинус третьего угла.

4,6(41 оценок)
Ответ:
FrelPro
FrelPro
20.07.2021

1)по теореме косинусов AB^2 = BC^2 AC^2 - 2*BC*AC*cosC = 5^2 32 - 40 = 17
2)ав^2=b^2+121+11*b значит ав=b+11 я подставила в формулу и упрастила выражение получился ответ в+11

2 a^2=b^2+c^2-2cosa вытащим отсюда соs, cos=(b^2+c^2-a^2)/2bc=(100+225-81)/2*10*15=61/75 -это я нашла косинус первого угла


b^2=a^2+c^2-2cosb cosb =(a^2+c^2-b^2)/2ac=(a^2+c^2-b^2)/2ac=9^2+15^2-10^2/2*9*15=81+225-100/270=206/270=103/135- это я нашла   второй косинус угла


с^2=a^2+в^2-2cosс cosс =(a^2+в^2-с^2)/2aв=9^2+10^2-15^2/2*9*10=81+100-225/180 - это я нашла косинус третьего угла.

4,5(92 оценок)
Это интересно:
Новые ответы от MOGZ: Математика
logo
Вход Регистрация
Что ты хочешь узнать?
Спроси Mozg
Открыть лучший ответ