М
Молодежь
К
Компьютеры-и-электроника
Д
Дом-и-сад
С
Стиль-и-уход-за-собой
П
Праздники-и-традиции
Т
Транспорт
П
Путешествия
С
Семейная-жизнь
Ф
Философия-и-религия
Б
Без категории
М
Мир-работы
Х
Хобби-и-рукоделие
И
Искусство-и-развлечения
В
Взаимоотношения
З
Здоровье
К
Кулинария-и-гостеприимство
Ф
Финансы-и-бизнес
П
Питомцы-и-животные
О
Образование
О
Образование-и-коммуникации
annamoz2004
annamoz2004
06.12.2021 04:54 •  Математика

Записать уравнение касательной к графику функции y=f(x) в точке с абсциссой х0
f(x)= x3-2x ,x0=2

👇
Ответ:
ggghh99
ggghh99
06.12.2021

Пошаговое объяснение:

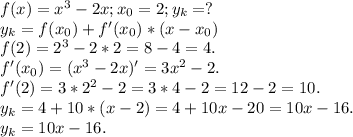
f(x)=x^3-2x;x_0=2;y_k=?\\y_k=f(x_0)+f'(x_0)*(x-x_0)\\f(2)=2^3-2*2=8-4=4.\\f'(x_0)=(x^3-2x)'=3x^2-2.\\f'(2)=3*2^2-2=3*4-2=12-2=10.\\y_k=4+10*(x-2)=4+10x-20=10x-16.\\y_k=10x-16.

4,8(53 оценок)
Открыть все ответы
Ответ:
Roman07156
Roman07156
06.12.2021

Для решения данной задачи, для начала нужно узнать, в каком году начала свою работу станция МКС, для этого выполним следующие действия:

1. 1961 + 8 = 1969 год - Нейл Армстронг вступил на поверхность луны.

2. 1969 + 31 = 2000 год - начало работы станции МКС.

Теперь, для того, чтобы узнать сколько лет работает экипаж на Международной станции МКС, нужно из текущего года (2019г.) вычесть год когда станция МКС начала свою работу, выполним это действие:

3. 2019 - 2000 = 19 лет работает экипаж на Международной станции МКС.

ответ: 19 лет.

4,4(76 оценок)
Ответ:
ekarerinazak05
ekarerinazak05
06.12.2021
Вторичные поражающие факторыявления и процессы, которые возникают как последствия действияосновных (первичных) факторов на людей, объекты и среду при применении противником ядерного, химического, биологического и др. оружия, а также при возникновении природных чрезвычайных ситуаций, аварий и катастроф. К В.п.ф. относится радиоактивное загрязнение, химическое, биологическое(бактериологическое) заражение местности, оружия и военной техники, запасов материальных средств, продовольствия и водоисточников, а также геофизические сдвиги, вызывающие климатические, сейсмическиеи иные аномалии. Наиболее опасные и длительно действующие В.п.ф. могут возникнуть в результатеразрушения АЭС, плотин гидроэлектростанций, крупных объектов химической, газовой, топливной и др. видовпромышленности, а также при ведении военных действий или проведении терактов с применением ОМП.
4,7(4 оценок)
Это интересно:
Новые ответы от MOGZ: Математика
logo
Вход Регистрация
Что ты хочешь узнать?
Спроси Mozg
Открыть лучший ответ