М
Молодежь
К
Компьютеры-и-электроника
Д
Дом-и-сад
С
Стиль-и-уход-за-собой
П
Праздники-и-традиции
Т
Транспорт
П
Путешествия
С
Семейная-жизнь
Ф
Философия-и-религия
Б
Без категории
М
Мир-работы
Х
Хобби-и-рукоделие
И
Искусство-и-развлечения
В
Взаимоотношения
З
Здоровье
К
Кулинария-и-гостеприимство
Ф
Финансы-и-бизнес
П
Питомцы-и-животные
О
Образование
О
Образование-и-коммуникации
evaklchn
evaklchn
05.10.2020 09:01 •  Математика

с ответами, желательно с решением


с ответами, желательно с решением

👇
Ответ:

Пошаговое объяснение:

2) 2(1-sin²x)-1= 1-2sin²x= 1-2*0,3= 0,4

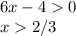
3) ОДЗ:

3x²-2x>0

6x-4>0

x∈(2/3;+∞)

решение

3x²-2x=6x-4

3x²-8x+4=0

D= 64-48= 16

x1= (8-4)/6= 2/3 - не корень

x2= (8+4)/6= 2

ответ: x=2. промежуток (2/3;+∞)

4) y=x³+5x²

y'= 3x²+10x

y'(1)= 3+10= 13

4,6(38 оценок)
Ответ:
romaberduk03
romaberduk03
05.10.2020

Пошаговое объяснение:

2. 2 cos^2x-1 = 2(1-sin^2x)-1 =2-2sin^2x-1 = 1- 2*sin^2x = 1- 2*0.3 =0.4

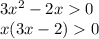
3. ОДЗ  

3x^{2} -2x0\\x(3x-2)0

x ∈ (-∞; 0)∪(2/3; +∞)

6x-40\\x2/3

x ∈ (2/3; +∞)

ответ: x ∈ (2/3; +∞)

4.

y'=2x(x+5)+x^{2} *1=2x^{2} +10x+x^{2} =3x^{2} +10x\\y'(1) = 3*1^2+10*1=3+10=13

4,6(15 оценок)
Открыть все ответы
Ответ:
QwertyMia
QwertyMia
05.10.2020
Если два тела одновременно движутся в противоположных направлениях, то расстояние между ними постепенно увеличивается.Скорость удаления – это расстояние, которое проходят тела за 1 ч при движении в противоположных направлениях. Пример 1. Два лыжника одновременно вышли из пункта А в противоположных направлениях. Первый лыжник шёл со скоростью 12 км/ч, а второй – 14 км/ч. На каком расстоянии друг от друга они будут через 3 ч?Схема к задаче: Решение км) – расстояние, которое первый лыжник за 3 ч2)14 • 3 = 42 (км) – расстояние, которое второй лыжник за 3 ч3)36 + 42 = 78 (км км/ч) – скорость удаления2)26 • 3 = 78 (км)ответ: 78 км. 
4,6(83 оценок)
Ответ:
marinandnatasha1
marinandnatasha1
05.10.2020
Тебе нужно дробь делить на целое число.
Для этого целое число нужно представить в виде дроби.:
то есть 5/8 : 4 нужно 4 представить как 4/1. И 5/8 будем делить на 4/1.
получается 5/8 : 4 = 5/8 : 4/1.
Теперь вопрос как дробь делить на дробь?
Нужно одновременно выполнить 2 дела:
первое дело - деление заменить умножением
второе дело  - перевернуть вторую дробь.
То есть:
5/8 : 4 = 5/8 : 4/1 = 5/8 * 1/4 = 5/32

Далее, нужно понять как целое число делить на дробь.
Начало - такое же - мы должны целое число представить в виде дроби: 
4=4/1
И выполнить деление
4 : 5/8 = 4/1 : 5/8
Как делить дробь на дробь? - смотри выше!
Нужно сделать одновременно два дела:
первое дело  - заменить деление умножением
второе дело - перевернуть вторую(!) дробь
4 : 5/8 = 4/1 : 5/8 = 4/1 * 8/5 = 32/5 = 6 целых 2/5

Вот тебе и разница - в первом случае имеем дробь -5/32 - она меньше целого. А во втором случае число, бОльшее единицы - 6 целых 2/5
4,5(94 оценок)
Новые ответы от MOGZ: Математика
logo
Вход Регистрация
Что ты хочешь узнать?
Спроси Mozg
Открыть лучший ответ