М
Молодежь
К
Компьютеры-и-электроника
Д
Дом-и-сад
С
Стиль-и-уход-за-собой
П
Праздники-и-традиции
Т
Транспорт
П
Путешествия
С
Семейная-жизнь
Ф
Философия-и-религия
Б
Без категории
М
Мир-работы
Х
Хобби-и-рукоделие
И
Искусство-и-развлечения
В
Взаимоотношения
З
Здоровье
К
Кулинария-и-гостеприимство
Ф
Финансы-и-бизнес
П
Питомцы-и-животные
О
Образование
О
Образование-и-коммуникации
lov3snake
lov3snake
02.03.2023 13:36 •  Математика

решить простейшие неравенства


решить простейшие неравенства

👇
Ответ:
stovolosova03
stovolosova03
02.03.2023

Показательные неравенства


решить простейшие неравенства
4,6(26 оценок)
Ответ:
пухля13
пухля13
02.03.2023

(см. объяснение)

Пошаговое объяснение:

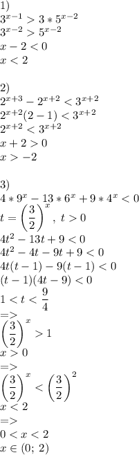
1)\\3^{x-1}3*5^{x-2}\\3^{x-2}5^{x-2}\\x-2

Уравнения решены!

4,4(57 оценок)
Открыть все ответы
Ответ:
reded5610
reded5610
02.03.2023
1)1руб92коп=192коп--осталось                                                                                 2)192:4=48коп-это 1/4 того что осталось                                                                    3)48:3*7=112коп вторая игрушка                                                                              4)112+192=300коп-осталось до второй покупки                                                         5)300:4=75коп -первая игрушка                                                                                6)300+75=375коп =3руб 75 коп было всего                                                            ответ:3 руб.75 копеек
4,5(44 оценок)
Ответ:
Elton17
Elton17
02.03.2023
1)1руб92коп=192коп--осталось                                                                                 2)192:4=48коп-это 1/4 того что осталось                                                                    3)48:3*7=112коп вторая игрушка                                                                              4)112+192=300коп-осталось до второй покупки                                                         5)300:4=75коп -первая игрушка                                                                                6)300+75=375коп =3руб 75 коп было всего                                                            ответ:3 руб.75 копеек
4,5(25 оценок)
logo
Вход Регистрация
Что ты хочешь узнать?
Спроси Mozg
Открыть лучший ответ