М
Молодежь
К
Компьютеры-и-электроника
Д
Дом-и-сад
С
Стиль-и-уход-за-собой
П
Праздники-и-традиции
Т
Транспорт
П
Путешествия
С
Семейная-жизнь
Ф
Философия-и-религия
Б
Без категории
М
Мир-работы
Х
Хобби-и-рукоделие
И
Искусство-и-развлечения
В
Взаимоотношения
З
Здоровье
К
Кулинария-и-гостеприимство
Ф
Финансы-и-бизнес
П
Питомцы-и-животные
О
Образование
О
Образование-и-коммуникации
yulia14683
yulia14683
04.05.2021 01:13 •  Математика

Решите неравенство методом интервалов: (4x-1)/(3x+1)≥1.

👇
Ответ:
ксе16
ксе16
04.05.2021

Пошаговое объяснение:

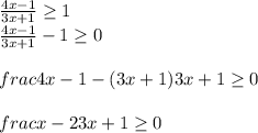
(4x-1)/(3x+1)≥1.

\frac{4x-1}{3x+1} \geq 1\\\frac{4x-1}{3x+1} -1\geq 0\\\\frac{4x-1-(3x+1)}{3x+1} \geq 0\\\\frac{x-2}{3x+1} \geq0\\

Равносильно (х-2)(3х+1)≥0 при х≠-\frac{1}{3}   . Метод интервалов :

+++++(-\frac{1}{3})----------[2]++++++++, х∈ (-∞;-\frac{1}{3}) и [2;+∞)

4,7(44 оценок)
Ответ:
OWERpass
OWERpass
04.05.2021

ответ: см фото. Диапазон от минус бесконечности до -1/3 (не вкл) и от 2 до плюс бесконечности.

Пошаговое объяснение:


Решите неравенство методом интервалов: (4x-1)/(3x+1)≥1.
4,5(90 оценок)
Открыть все ответы
Ответ:
ЧараX
ЧараX
04.05.2021
Сочинение на тему историческая память
Комментарии к проблеме: Память-понятие жизненно важное и широкое. Память бывает разная. Есть память о Родине, о родной страны и своего народа, о родных и друзьях, о счастье и любви, и о многом другом, но каждая из них очень важна.
Многие века создавалась история. Великие люди — ученые и воины, герои и мудрецы — по крупицам делали нашу жизнь такой, какой она досталась нам. И каждый момент этой жизни возможен только потому, что были столетия до него. Об этом мы должны постоянно помнить, это мы должны четко осознавать, чтобы продолжать жить, оставаться полноценным человеком — связующим звеном в непрерывном потоке времени.Собственная позиция: Я считаю, что память о наших предках составляет главное богатство нашей души. Ведь для того чтобы мы сейчас жили и были такими, какие мы есть, многие поколения людей создавали наше общество, делали жизнь такой, какой увидели ее мы. Да и в нас самих — прямое продолжение нравственных, культурных, исторических ценностей дедов и прадедов. Именно поколения создали нас теперешних, возвысили наши мысли и чувства до вершин человеческой мудрости. Потому мы всегда должны хранить в своей памяти след той человеческой красоты, тот огонь, который освещал жизнь ушедших, огонь, который они передали нам, а мы передадим нашим потомкам. Ведь человек утверждается в мире не только как мыслящее и чувствующее существо, но и как одно из звеньев в крепкой вечной цепи, соединяющей и будущее. Чем больше дорожит человек памятью своих отцов, дедов и прадедов, тем лучше осознает он свое место в этом мире, тем глубже чувствует свою ответственность за будущее. В наших предках — корень нашего нынешнего существования, истоки нашей чести, совести, достоинства, идеалов.Аргументы: Тема памяти звучит в творчестве Твардовского в двух аспектах. Во-первых, поэт выделяет важность памяти о погибших на войне, а во-вторых, говорит о значении цепочек родовой, семейной памяти, которые безжалостно разрушались в годы сталинских репрессий, когда многие публично отказывались от родства с теми, кто был объявлен врагом народа. Памяти сражавшихся и погибших на войне посвящены строки поэмы «Василий Тёркин». Особенно явственно отголоски слышатся в поэме Твардовского "По праву памяти", где центральное место занимает проблема того, какую долю "отец народов" уготовил своим детям. Выразительно и твердо названная "По праву памяти" поэма родилась как акт сопротивления, всем своим названием взрывала страшное молчание, покрывающее многие годы сталинского режима, и била по его организаторам. Эта поэма Твардовского адресована современной молодежи, обращена к ее духовно-нравственным, идейным поискам и устремлениям.Заключение: Необходимо помнить, что история не делится на отрезки, события ее не распределяются по чинам и званиям: каждый отвечает за все, что было в совершается в настоящем и произойдет в будущем.
4,4(90 оценок)
Ответ:
soffffa0790
soffffa0790
04.05.2021
4 часа - 240 км
1 час - 20%
2 час - 3/16 остатка
3 час - остальное , но в 2 раза больше чем за 4ый час
4 час - остальное

1) 240 * 20% = 240 * 20/100 = 240 : 100 * 20 = 48 км проехал за 1ый час
2) 240 - 48 = 192 км остаток
3) 192 * 3/16 = 192 : 16 * 3 = 36 км проехал за 2ой час
4) 48 + 36 = 84 км проехал за первые два часа
5) 240 - 84 = 156 км проехал за 3ий и 4ый часы
6) 1 + 2 = 3 части в 156 км 3его и 4ого часа
7) 156 : 3 = 52 км проехал за 4ый час
8) 52 * 2 = 104 км проехал за 3ий час
ответ:  1 час - 48 км
             2 час - 36 км
             3 час - 104 км
             4 час - 52 км
             
4,7(44 оценок)
Это интересно:
Новые ответы от MOGZ: Математика
logo
Вход Регистрация
Что ты хочешь узнать?
Спроси Mozg
Открыть лучший ответ