М
Молодежь
К
Компьютеры-и-электроника
Д
Дом-и-сад
С
Стиль-и-уход-за-собой
П
Праздники-и-традиции
Т
Транспорт
П
Путешествия
С
Семейная-жизнь
Ф
Философия-и-религия
Б
Без категории
М
Мир-работы
Х
Хобби-и-рукоделие
И
Искусство-и-развлечения
В
Взаимоотношения
З
Здоровье
К
Кулинария-и-гостеприимство
Ф
Финансы-и-бизнес
П
Питомцы-и-животные
О
Образование
О
Образование-и-коммуникации
ammaa09
ammaa09
27.02.2023 18:35 •  Математика

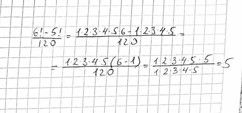
Вычислите 6!-5!/120 С решением

👇
Ответ:
Shatunova1976
Shatunova1976
27.02.2023

ответ: 5

Пошаговое объяснение: (во вложении)


Вычислите 6!-5!/120 С решением
4,6(17 оценок)
Ответ:
domiradps
domiradps
27.02.2023
5!=1*2*3*4*5, 6!=1*2*3*4*5*6=5!*6 выходит можно переписать 6!-5!/120=(6-1)*(1*2*3*4*5)/120=5*2*3*4*5/120=10*12*5/120=120*5/120=5
4,5(49 оценок)
Открыть все ответы
Ответ:
andrievskiyvitaliy
andrievskiyvitaliy
27.02.2023
4м + 5дм = 400 см + 50 см = 450см
4м + 5 см = 400см + 5 см = 405
4м 5 дм + 5 см = 400см + 50 см + 5 см = 455см

6м 7 дм 7 см - 7 см = (600 см + 70 см + 7 см ) -7 см = 677см -7 см = 670 см
6 м 7 дм 7 см - 6 м = (600 см +70 см +7 см ) -600 см = 677 см -600 см =77 см
6 м 7 дм -7 дм = (600 см +70 см ) -70 см = 670см -70 см = 600 см

7 м 89 см - 9 см = (700 см +89 см ) -9 см = 789 -9 см =780 см
7 м 8 дм 9 см - 8 дм = ( 700 см + 80 см +9 см ) -80 см = 789 - 80 = 709 см
789 см - 7 м = 789 см - 700 см =89 см
4,6(25 оценок)
Ответ:
Олег4311
Олег4311
27.02.2023

ответ:270

Пошаговое объяснение:

На 10 делятся все числа, оканчивающиеся 0.

Выпишем все такие двузначные числа:

10

20

30

40

50

60

70

80

90

Целое число делится на 3, если сумма его цифр делится на 3, в другом случае - нацело на 3 оно не делится.

10 (1 + 0 = 1) не делится

20 (2 + 0 = 2) не делится

30 (3 + 0 = 3) делится

40 (4 + 0 = 4) не делится

50 (5 + 0 = 5) не делится

60 (6 + 0 = 6) делится

70 (7 + 0 = 7) не делится

80 (8 + 0 = 8) не делится

90 (9 + 0 = 9) делится

Исключим те, которые делятся на 3 и найдем сумму оставшихся:

10 + 20 + 40 + 50 + 70 + 80 = 270

4,8(33 оценок)
Новые ответы от MOGZ: Математика
logo
Вход Регистрация
Что ты хочешь узнать?
Спроси Mozg
Открыть лучший ответ