М
Молодежь
К
Компьютеры-и-электроника
Д
Дом-и-сад
С
Стиль-и-уход-за-собой
П
Праздники-и-традиции
Т
Транспорт
П
Путешествия
С
Семейная-жизнь
Ф
Философия-и-религия
Б
Без категории
М
Мир-работы
Х
Хобби-и-рукоделие
И
Искусство-и-развлечения
В
Взаимоотношения
З
Здоровье
К
Кулинария-и-гостеприимство
Ф
Финансы-и-бизнес
П
Питомцы-и-животные
О
Образование
О
Образование-и-коммуникации
lubavoytenko003
lubavoytenko003
29.01.2023 13:22 •  Математика

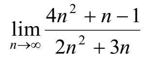
Вычислите предел числовой последовательности


Вычислите предел числовой последовательности

👇
Ответ:
marushakeduard
marushakeduard
29.01.2023

2

Пошаговое объяснение:

Разделим числитель и знаменатель на n^2. Получим в числителе 4+1/n-1/n^2, в знаменателе 2+3/n. Тогда искомый предел =4/2 =2 так как при n стремящемуся в бесконечность

1/n→0,  

1/n^2→0,    

3/n→0.

4,8(87 оценок)
Открыть все ответы
Ответ:
Daniilkan
Daniilkan
29.01.2023
Так как часы стрелочные, то для того, чтобы они опять показали верное время, им нужно отстать на 12 часов. За 1 день часы отстают на 12 мин, на один час они отстанут через 60 : 12 = 5 дней, на 12 часов - через 5 × 12 = 60 дней.

ответ: часы будут опять показывать верное время через 60 дней.

Можно записать решение по-другому.

12 ч = 720 мин

1) 720 мин : 12 мин = 60, то есть, чтобы снова показывать верное время, часам нужно 60 раз отстать на 12 минут. А так как они отстают на 12 минут один раз в день, то и потребуется 60 дней.
4,4(28 оценок)
Ответ:
LuKи
LuKи
29.01.2023
Воспользуйся  тремя свойствами  умножения и решение будет проще:
1) распределительное свойство умножение относительно вычитания
  ab  - ac  = a*(b-c)
2)  при делении числа на 1 результатом будет само число
a : 1 = а
3)  при умножении на 0  результатом будет 0
 а * 0 = 0

954 * 36789  - 954 * 28749  - 2877790 : (14038: 1  + 0 * 54786) = 
= 954 * (36789  - 28749)   -   2877790 : (14038  + 0) =
= 954 * (36789  - 28749)  - 2877790 :  14038  =  7669955
Выражение упростилось  с 8-ми  до 4-х действий:
1)  36789  - 28749 = 8040
2)  954 * 8040 = 7670160
3)  2877790 : 14038 = 205
4) 7670160  - 205 = 7669955
4,8(36 оценок)
Это интересно:
logo
Вход Регистрация
Что ты хочешь узнать?
Спроси Mozg
Открыть лучший ответ