
5.
Пошаговое объяснение:
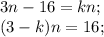
Если член an - целый, то можно переписать условие:

n∈N, k∈Z; Тогда

В силу того, что k∈Z, получается уравнение в целых числах. Оно имеет решение, если n является делителем числа 16, соответственно количество таких натуральных n - 5 (1, 2, 4, 8, 16).
ответ 5.
Решение задачи прилагаю.